Вопрос по геометрии:
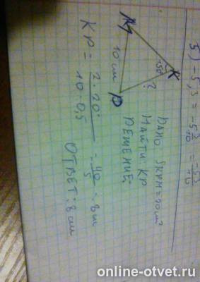
Дан треугольник МКР сторона МР равна 10см, а угол К=150. Найдите сторону КР
Пожаловаться
- 19.02.2018 21:16
- Геометрия
- remove_red_eye 13177
- thumb_up 8
Ответы и объяснения 1
Знаете ответ? Поделитесь им!
Есть сомнения?
Не нашли подходящего ответа на вопрос или ответ отсутствует? Воспользуйтесь поиском по сайту, чтобы найти все ответы на похожие вопросы в разделе Геометрия.
Трудности с домашними заданиями? Не стесняйтесь попросить о помощи - смело задавайте вопросы!
Геометрия — раздел математики, изучающий пространственные структуры и отношения, а также их обобщения.
Новые вопросы
Интересные вопросы