Вопрос по геометрии:
Пожалуйста срочно помогите!!! Мне на завра нужно!!!! Только все как положено напишите что*бы понятно было.
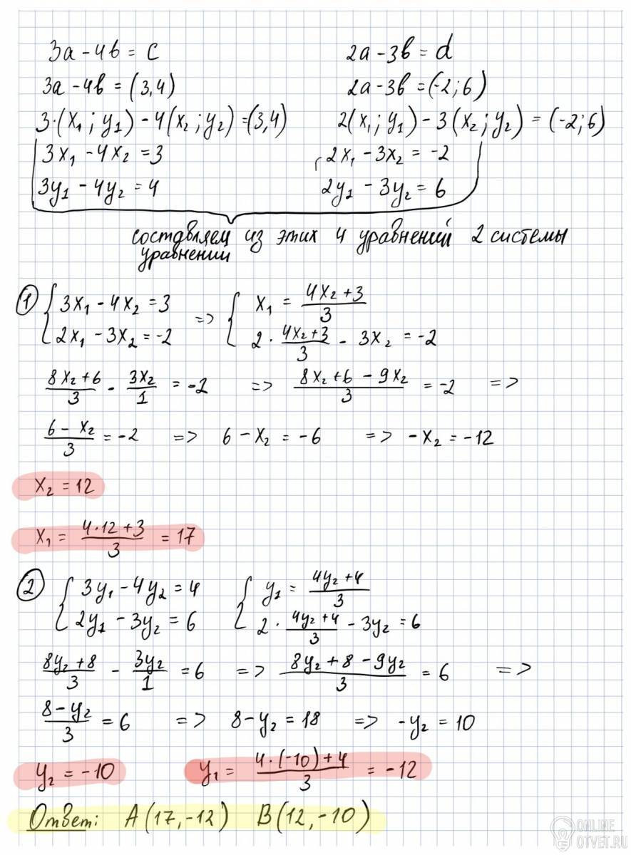
Найдите координаты векторов а и b, если с(3,4) , d(-2,6); с=3а - 4b; d=2а- 3b
- 09.09.2018 05:01
- Геометрия
- remove_red_eye 5517
- thumb_up 29
Ответы и объяснения 1
Знаете ответ? Поделитесь им!
Есть сомнения?
Не нашли подходящего ответа на вопрос или ответ отсутствует? Воспользуйтесь поиском по сайту, чтобы найти все ответы на похожие вопросы в разделе Геометрия.
Трудности с домашними заданиями? Не стесняйтесь попросить о помощи - смело задавайте вопросы!
Геометрия — раздел математики, изучающий пространственные структуры и отношения, а также их обобщения.