Вопрос по геометрии:
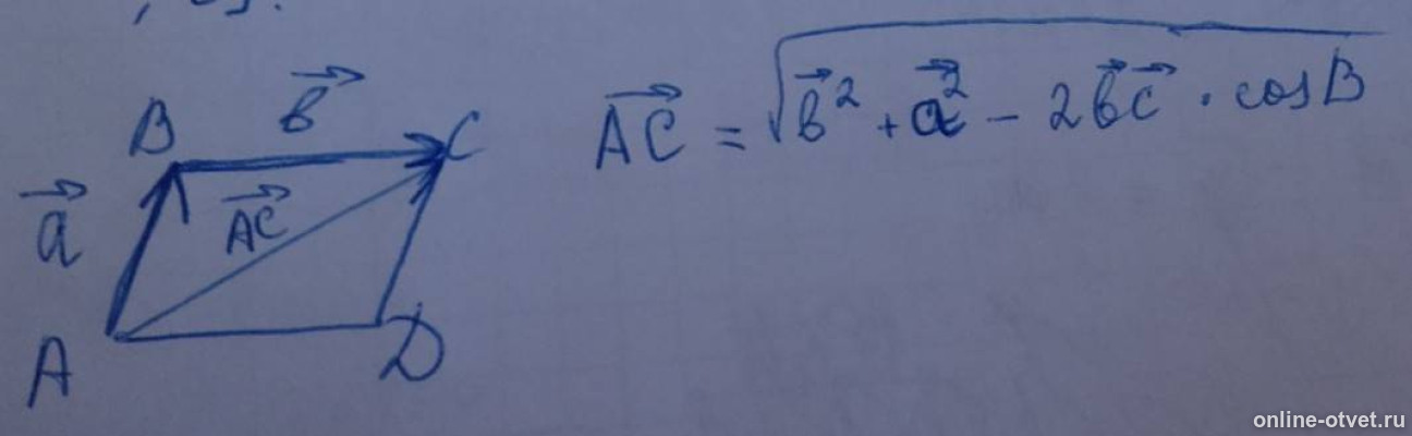
Abcd паралелограмм. Выразить вектор AC через векторы AB если a=AB, b=BC
Пожаловаться
- 18.02.2018 08:12
- Геометрия
- remove_red_eye 2071
- thumb_up 7
Ответы и объяснения 1
Знаете ответ? Поделитесь им!
Есть сомнения?
Не нашли подходящего ответа на вопрос или ответ отсутствует? Воспользуйтесь поиском по сайту, чтобы найти все ответы на похожие вопросы в разделе Геометрия.
Трудности с домашними заданиями? Не стесняйтесь попросить о помощи - смело задавайте вопросы!
Геометрия — раздел математики, изучающий пространственные структуры и отношения, а также их обобщения.
Новые вопросы
Интересные вопросы