Вопрос по геометрии:
Даны две прямые l1 и l2 (только вариант 2).
1) Найти точку пересечения данных прямых.
2)Выразить прямые уравнением в отрезках и построить их в системе координат. Чему равен угол прямых к оси Ох?
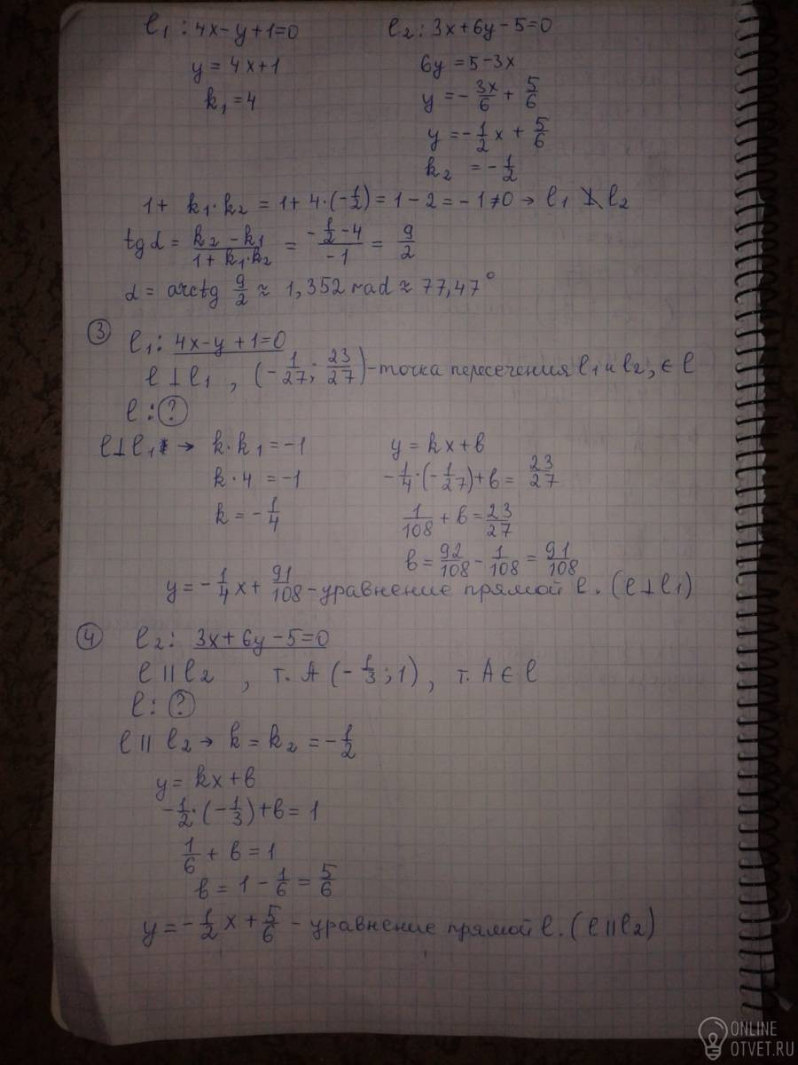
3)Составить уравнение прямой l, перпендикулярной прямой l1 и проходящей через пересечения l1 и l2.
4)Составить уравнение прямой, параллельной прямой l2, проходящей через точку А.
5)Установить, какой прямой принадлежит точка А.
6)Найти точку пересечения прямой и плоскости.
- 07.02.2017 16:13
- Геометрия
- remove_red_eye 9531
- thumb_up 26
Ответы и объяснения 1
Знаете ответ? Поделитесь им!
Есть сомнения?
Не нашли подходящего ответа на вопрос или ответ отсутствует? Воспользуйтесь поиском по сайту, чтобы найти все ответы на похожие вопросы в разделе Геометрия.
Трудности с домашними заданиями? Не стесняйтесь попросить о помощи - смело задавайте вопросы!
Геометрия — раздел математики, изучающий пространственные структуры и отношения, а также их обобщения.