Вопрос по геометрии:
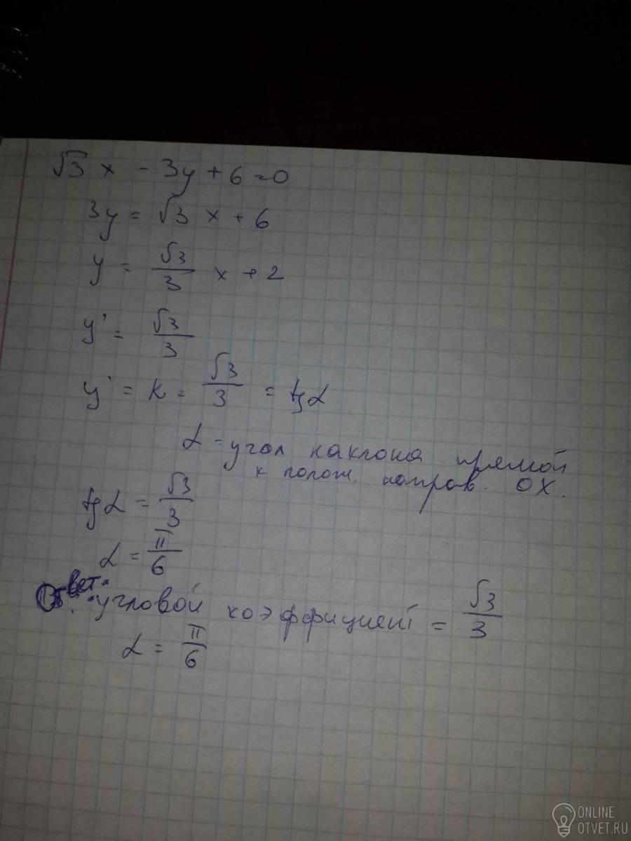
Определите угловой коэффициент и угол наклона прямой к положительному направлению оси Ох: √3х-3у+6=0
- 06.10.2016 23:41
- Геометрия
- remove_red_eye 6976
- thumb_up 19
Ответы и объяснения 1
Знаете ответ? Поделитесь им!
Есть сомнения?
Не нашли подходящего ответа на вопрос или ответ отсутствует? Воспользуйтесь поиском по сайту, чтобы найти все ответы на похожие вопросы в разделе Геометрия.
Трудности с домашними заданиями? Не стесняйтесь попросить о помощи - смело задавайте вопросы!
Геометрия — раздел математики, изучающий пространственные структуры и отношения, а также их обобщения.