Вопрос по геометрии:
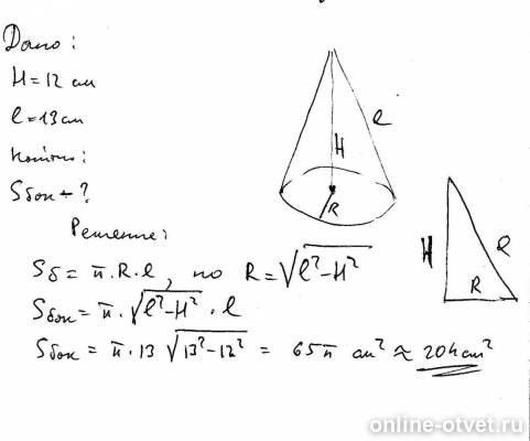
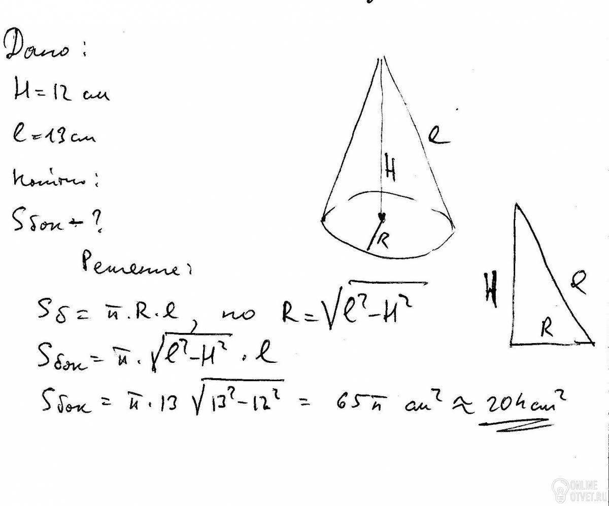
Высота конуса равна 12 а образующая 13 найдите площадь боковой поверхности конуса
Пожаловаться
- 25.11.2017 05:08
- Геометрия
- remove_red_eye 12899
- thumb_up 14
Ответы и объяснения 1
Знаете ответ? Поделитесь им!
Есть сомнения?
Не нашли подходящего ответа на вопрос или ответ отсутствует? Воспользуйтесь поиском по сайту, чтобы найти все ответы на похожие вопросы в разделе Геометрия.
Трудности с домашними заданиями? Не стесняйтесь попросить о помощи - смело задавайте вопросы!
Геометрия — раздел математики, изучающий пространственные структуры и отношения, а также их обобщения.
Новые вопросы
Интересные вопросы