Вопрос по геометрии:
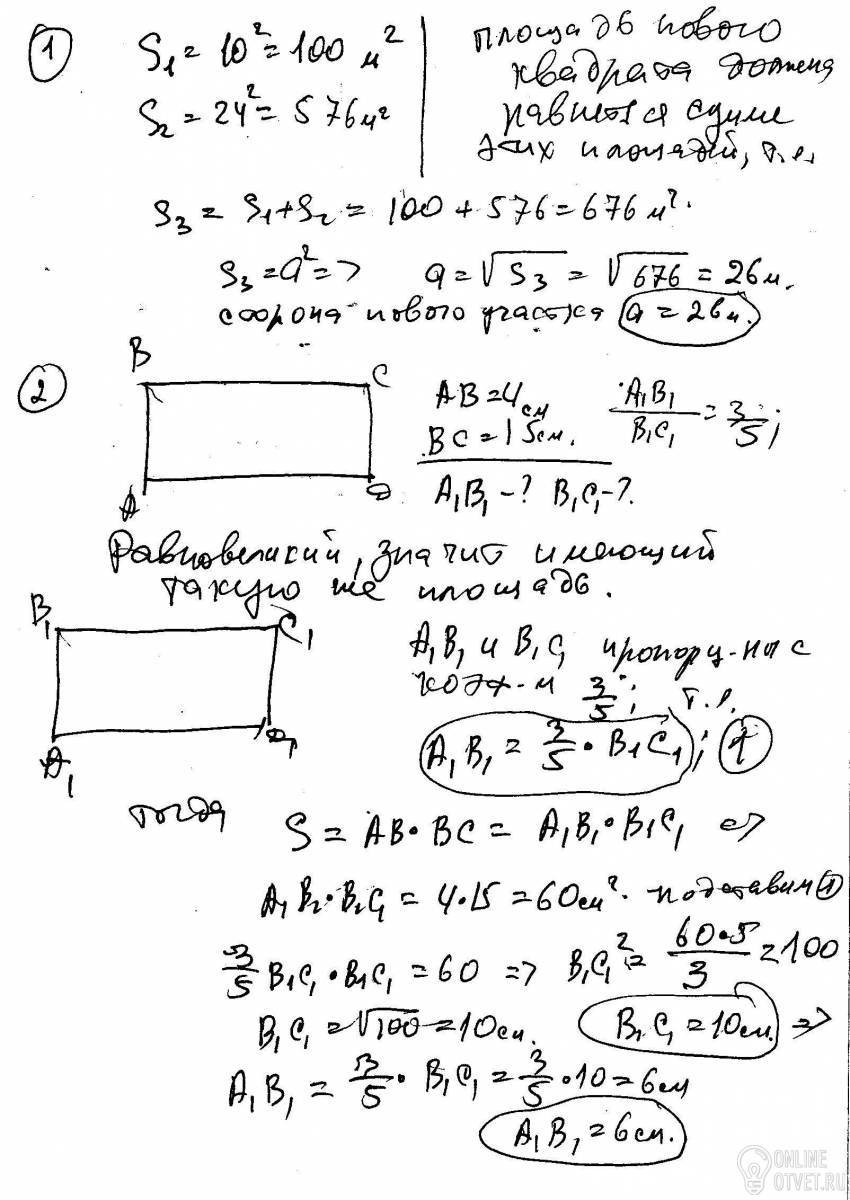
А)Длины сторон двух участков земли,имеющих форму квадрата, равны 10м и 24м.Найдите длину стороны квадратного участка земли,имеюшего площадь,равную сумме площадей этих участков.
б)Стороны прямоугольника 4см и 15см.Найдите стороны равновеликого ему прямоугольника,если они относятся как 3:5
((НАДЕЮСЬ КТО-НЕБУТЬ ПОМОЖЕТ))
- 25.03.2017 02:03
- Геометрия
- remove_red_eye 16434
- thumb_up 29
Ответы и объяснения 1
Знаете ответ? Поделитесь им!
Есть сомнения?
Не нашли подходящего ответа на вопрос или ответ отсутствует? Воспользуйтесь поиском по сайту, чтобы найти все ответы на похожие вопросы в разделе Геометрия.
Трудности с домашними заданиями? Не стесняйтесь попросить о помощи - смело задавайте вопросы!
Геометрия — раздел математики, изучающий пространственные структуры и отношения, а также их обобщения.