Вопрос по геометрии:
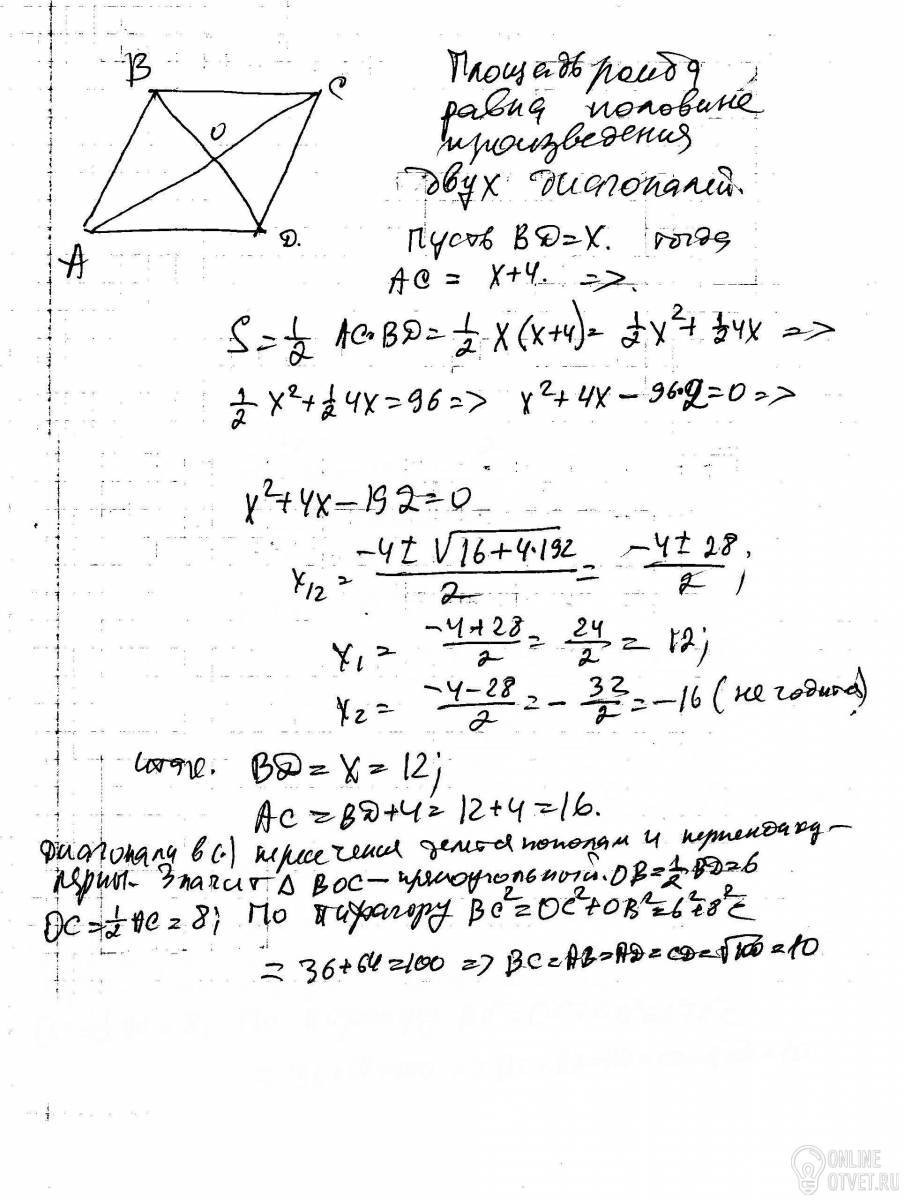
Одна из диагоналей ромба на 4см больше другой.Площадь ромба равна 96см(в квадрате) Найти:сторону ромба
- 03.05.2018 01:18
- Геометрия
- remove_red_eye 1393
- thumb_up 29
Ответы и объяснения 1
Знаете ответ? Поделитесь им!
Есть сомнения?
Не нашли подходящего ответа на вопрос или ответ отсутствует? Воспользуйтесь поиском по сайту, чтобы найти все ответы на похожие вопросы в разделе Геометрия.
Трудности с домашними заданиями? Не стесняйтесь попросить о помощи - смело задавайте вопросы!
Геометрия — раздел математики, изучающий пространственные структуры и отношения, а также их обобщения.