Вопрос по геометрии:
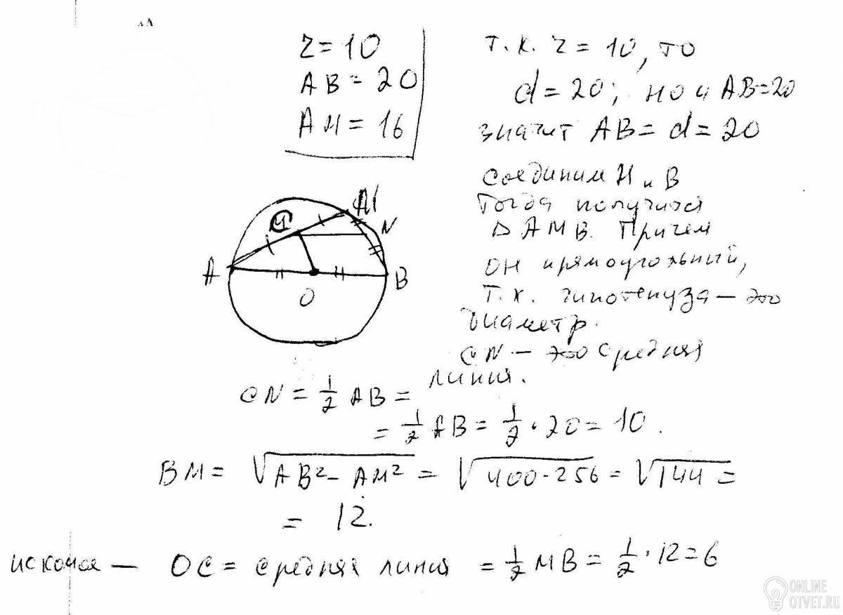
Найдите расстояние между серединами хорд AB и AM окружности радиуса 10, если длины этих хорд соответственно равны 20 и 16.
Пожалуйста, с объяснением и, желательно, с чертежом. Буду благодарен!
- 05.01.2018 03:22
- Геометрия
- remove_red_eye 10333
- thumb_up 7
Ответы и объяснения 1
Знаете ответ? Поделитесь им!
Есть сомнения?
Не нашли подходящего ответа на вопрос или ответ отсутствует? Воспользуйтесь поиском по сайту, чтобы найти все ответы на похожие вопросы в разделе Геометрия.
Трудности с домашними заданиями? Не стесняйтесь попросить о помощи - смело задавайте вопросы!
Геометрия — раздел математики, изучающий пространственные структуры и отношения, а также их обобщения.