Вопрос по геометрии:
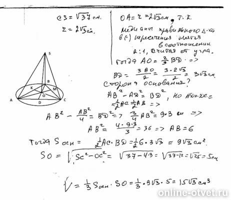
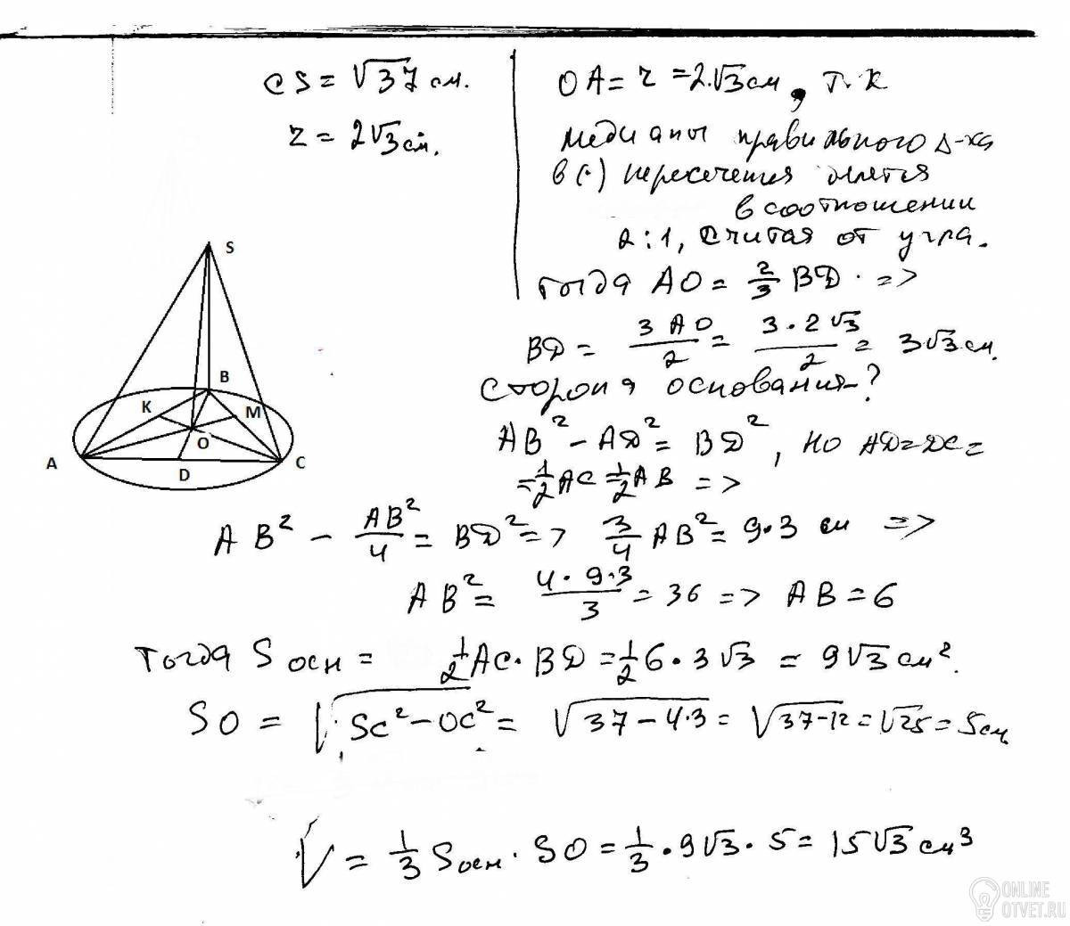
В правильной треугольной пирамиде боковое ребро равно √37 см. Найдите объем
пирамиды, если радиус окружности, описанной около основания, равен 2√3см
- 18.01.2017 03:01
- Геометрия
- remove_red_eye 12780
- thumb_up 27
Ответы и объяснения 1
Знаете ответ? Поделитесь им!
Есть сомнения?
Не нашли подходящего ответа на вопрос или ответ отсутствует? Воспользуйтесь поиском по сайту, чтобы найти все ответы на похожие вопросы в разделе Геометрия.
Трудности с домашними заданиями? Не стесняйтесь попросить о помощи - смело задавайте вопросы!
Геометрия — раздел математики, изучающий пространственные структуры и отношения, а также их обобщения.