Вопрос по геометрии:
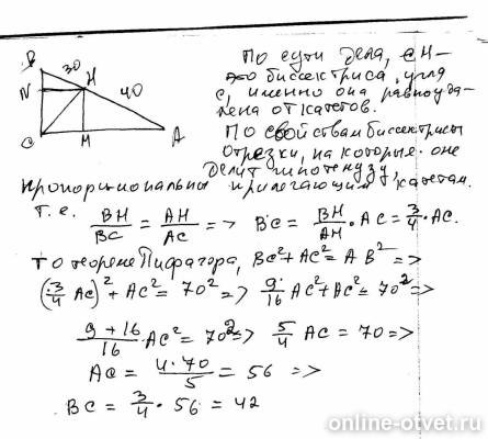
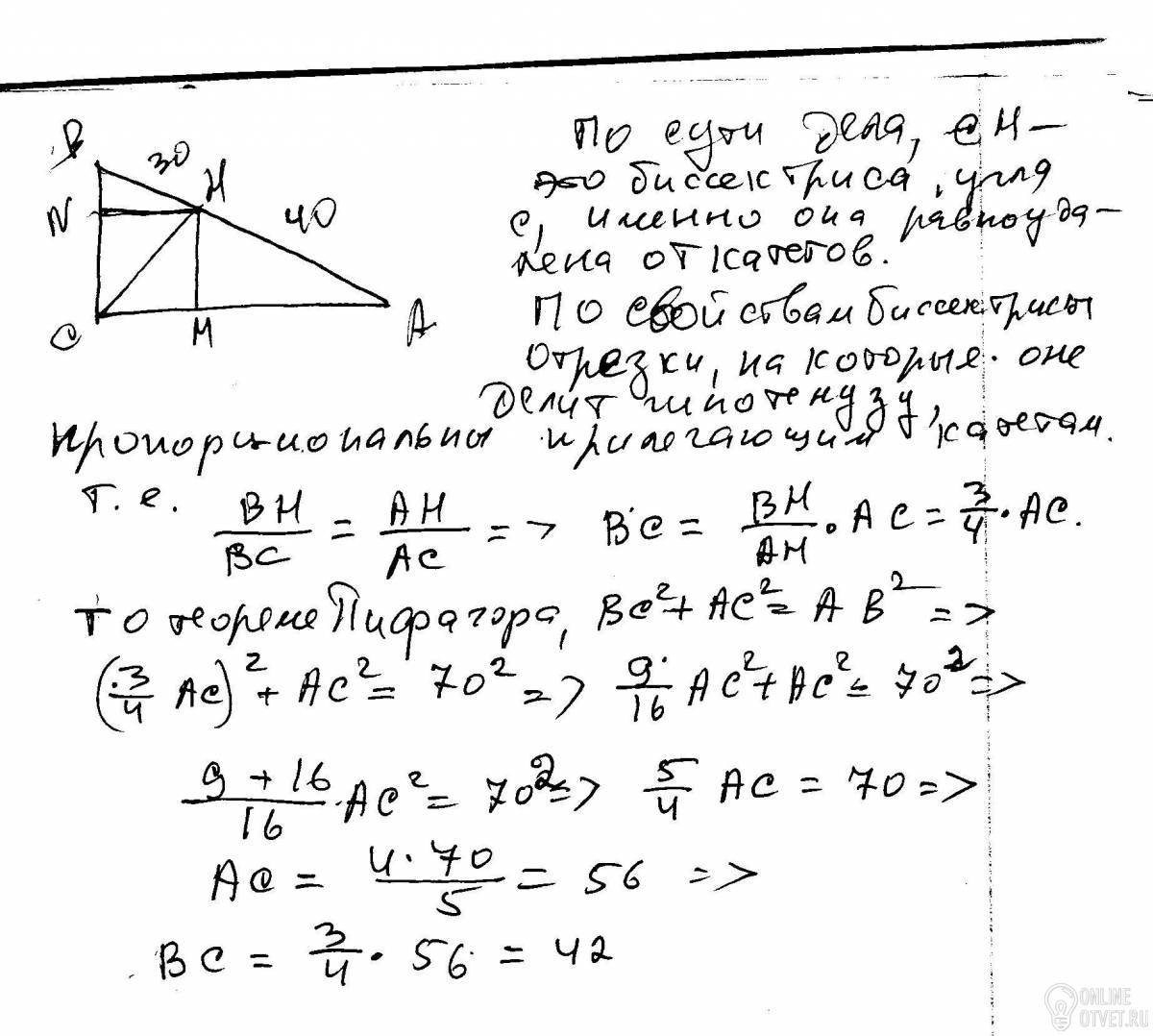
Рівновіддалена від катетів точка гіпотенузи прям.трикутника ділить її на відрізки 30 см і 40 см.Знайдіть катети
- 10.11.2016 09:04
- Геометрия
- remove_red_eye 11868
- thumb_up 33
Ответы и объяснения 1
Знаете ответ? Поделитесь им!
Есть сомнения?
Не нашли подходящего ответа на вопрос или ответ отсутствует? Воспользуйтесь поиском по сайту, чтобы найти все ответы на похожие вопросы в разделе Геометрия.
Трудности с домашними заданиями? Не стесняйтесь попросить о помощи - смело задавайте вопросы!
Геометрия — раздел математики, изучающий пространственные структуры и отношения, а также их обобщения.