Вопрос по геометрии:
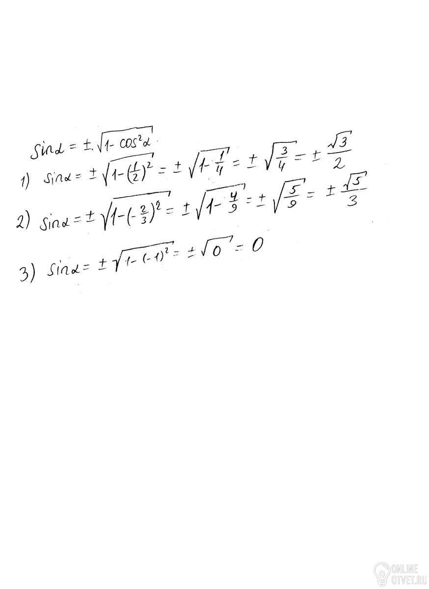
Найдите sin a если: cos a=1/2, cos a=-2/3, cos a=-1. Помогите плиз
Пожаловаться
- 07.09.2018 15:12
- Геометрия
- remove_red_eye 16385
- thumb_up 40
Ответы и объяснения 1
Знаете ответ? Поделитесь им!
Есть сомнения?
Не нашли подходящего ответа на вопрос или ответ отсутствует? Воспользуйтесь поиском по сайту, чтобы найти все ответы на похожие вопросы в разделе Геометрия.
Трудности с домашними заданиями? Не стесняйтесь попросить о помощи - смело задавайте вопросы!
Геометрия — раздел математики, изучающий пространственные структуры и отношения, а также их обобщения.
Новые вопросы
Интересные вопросы