Вопрос по геометрии:
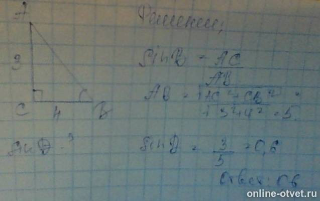
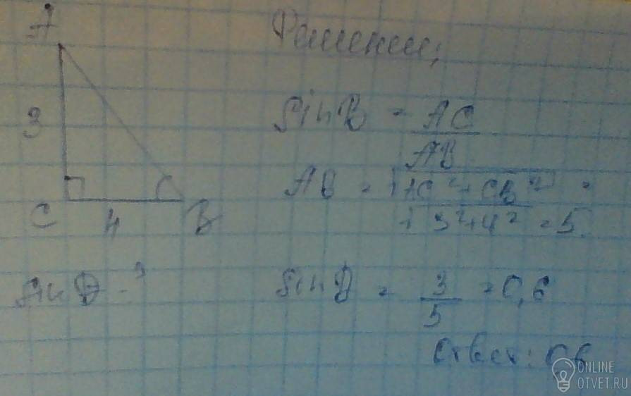
В прямоугольном треугольнике АВС (угол С=90градусов), АС = 3см, ВС = 4см.Вычислить sin B. ПОМОГИТЕ,пожалуйста.
- 15.09.2016 20:20
- Геометрия
- remove_red_eye 1677
- thumb_up 50
Ответы и объяснения 1
Знаете ответ? Поделитесь им!
Есть сомнения?
Не нашли подходящего ответа на вопрос или ответ отсутствует? Воспользуйтесь поиском по сайту, чтобы найти все ответы на похожие вопросы в разделе Геометрия.
Трудности с домашними заданиями? Не стесняйтесь попросить о помощи - смело задавайте вопросы!
Геометрия — раздел математики, изучающий пространственные структуры и отношения, а также их обобщения.