Вопрос по геометрии:
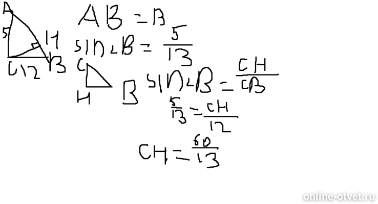
ПОМОГИТЕ!!!Найдите высоту,проведённую к гипотенузе прямоугольного треугольника с катетами 5 см и 12 см.
- 17.01.2017 00:38
- Геометрия
- remove_red_eye 11704
- thumb_up 50
Ответы и объяснения 1
Знаете ответ? Поделитесь им!
Есть сомнения?
Не нашли подходящего ответа на вопрос или ответ отсутствует? Воспользуйтесь поиском по сайту, чтобы найти все ответы на похожие вопросы в разделе Геометрия.
Трудности с домашними заданиями? Не стесняйтесь попросить о помощи - смело задавайте вопросы!
Геометрия — раздел математики, изучающий пространственные структуры и отношения, а также их обобщения.