Вопрос по геометрии:
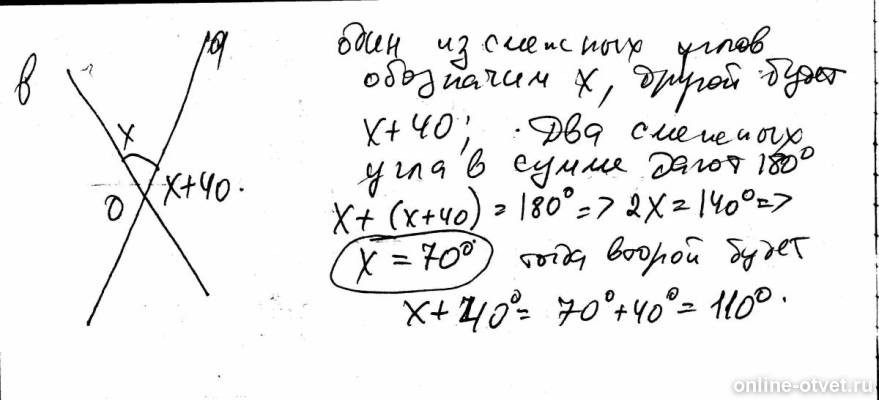
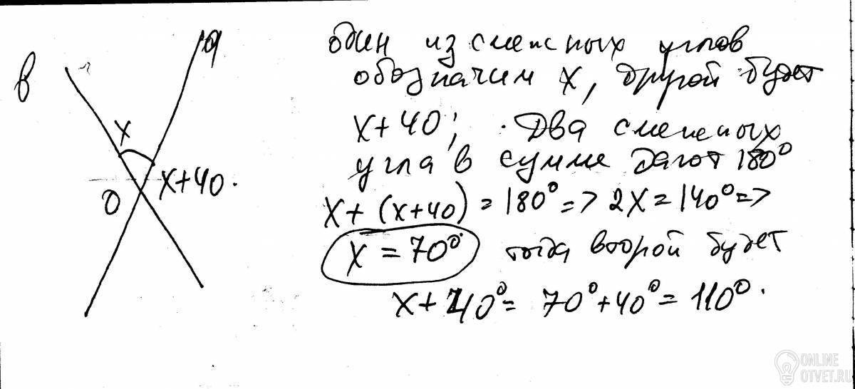
Разность двух углов получившихся при пересечении двух прямых равна 40градусов. Найдите меньший из этих углов. Срочнооооо
- 12.07.2017 19:34
- Геометрия
- remove_red_eye 6541
- thumb_up 38
Ответы и объяснения 1
Знаете ответ? Поделитесь им!
Есть сомнения?
Не нашли подходящего ответа на вопрос или ответ отсутствует? Воспользуйтесь поиском по сайту, чтобы найти все ответы на похожие вопросы в разделе Геометрия.
Трудности с домашними заданиями? Не стесняйтесь попросить о помощи - смело задавайте вопросы!
Геометрия — раздел математики, изучающий пространственные структуры и отношения, а также их обобщения.