Вопрос по геометрии:
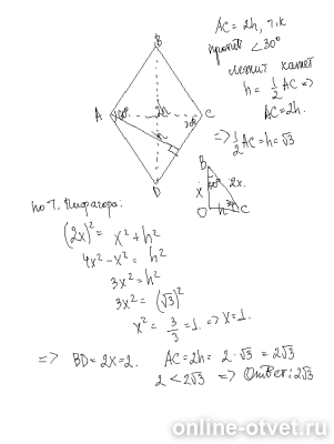
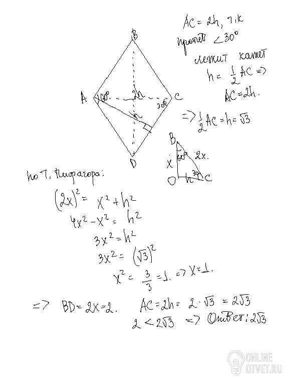
Один из углов ромба равен 60 градусам. Высота ромба равна корень из 3. Найдите длину меньшей диагонали.
- 17.09.2017 05:04
- Геометрия
- remove_red_eye 16275
- thumb_up 13
Ответы и объяснения 1
Знаете ответ? Поделитесь им!
Есть сомнения?
Не нашли подходящего ответа на вопрос или ответ отсутствует? Воспользуйтесь поиском по сайту, чтобы найти все ответы на похожие вопросы в разделе Геометрия.
Трудности с домашними заданиями? Не стесняйтесь попросить о помощи - смело задавайте вопросы!
Геометрия — раздел математики, изучающий пространственные структуры и отношения, а также их обобщения.