Вопрос по геометрии:
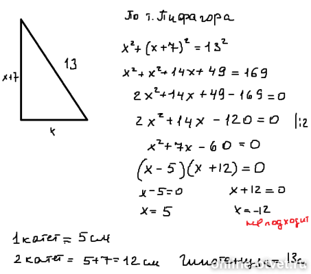
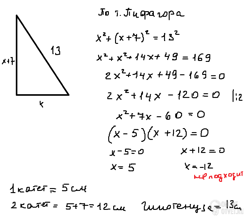
Знайти
сторони прямокутного трикутника, якщо
один з його катетів на 7 см менший від
другого, а гіпотенуза дорівнює 13 см.
- 25.05.2017 20:39
- Геометрия
- remove_red_eye 11189
- thumb_up 28
Ответы и объяснения 1
Знаете ответ? Поделитесь им!
Есть сомнения?
Не нашли подходящего ответа на вопрос или ответ отсутствует? Воспользуйтесь поиском по сайту, чтобы найти все ответы на похожие вопросы в разделе Геометрия.
Трудности с домашними заданиями? Не стесняйтесь попросить о помощи - смело задавайте вопросы!
Геометрия — раздел математики, изучающий пространственные структуры и отношения, а также их обобщения.