Вопрос по геометрии:
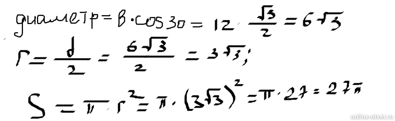
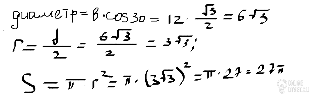
Діагональ осьового перерізу циліндра дорівнює 12 см і утворює кут 30 градусів з площею основи. Обчисліть площу основи циліндра.
- 10.10.2017 17:38
- Геометрия
- remove_red_eye 16644
- thumb_up 14
Ответы и объяснения 1
Знаете ответ? Поделитесь им!
Есть сомнения?
Не нашли подходящего ответа на вопрос или ответ отсутствует? Воспользуйтесь поиском по сайту, чтобы найти все ответы на похожие вопросы в разделе Геометрия.
Трудности с домашними заданиями? Не стесняйтесь попросить о помощи - смело задавайте вопросы!
Геометрия — раздел математики, изучающий пространственные структуры и отношения, а также их обобщения.