Вопрос по геометрии:
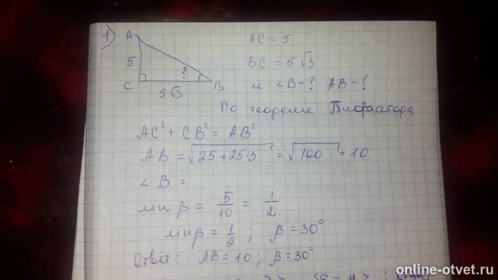
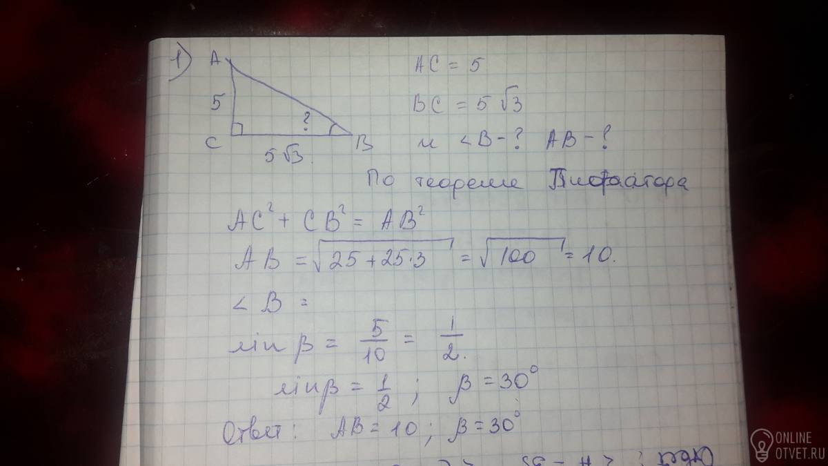
1) В прямоугольном треугольнике ABS (<C=90) AC =5см ,BS =5корней из 3см . Найдите угол Bи гипотезуAB .
2)В треугольнике ABS <A =a, C=бельта , сторона BC=7см, Bh-высота,найдите AH?
3)в треугольнике ABCD продолжения боковых сторон пересекаться в очки K! причем точка B-середина отрезка AK. найдите сумму оснований традиции, если AD=12 см.
- 15.05.2018 14:30
- Геометрия
- remove_red_eye 10936
- thumb_up 13
Ответы и объяснения 1
Знаете ответ? Поделитесь им!
Есть сомнения?
Не нашли подходящего ответа на вопрос или ответ отсутствует? Воспользуйтесь поиском по сайту, чтобы найти все ответы на похожие вопросы в разделе Геометрия.
Трудности с домашними заданиями? Не стесняйтесь попросить о помощи - смело задавайте вопросы!
Геометрия — раздел математики, изучающий пространственные структуры и отношения, а также их обобщения.