Вопрос по геометрии:
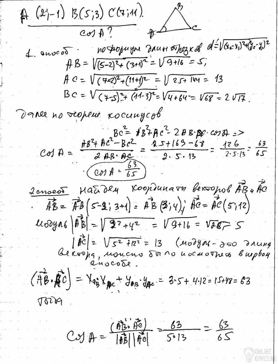
Даны три вершины треугольника ABC: A (2;-1), B (5;3), C (7;11). Найдите значение cosA
- 10.01.2018 10:25
- Геометрия
- remove_red_eye 2999
- thumb_up 8
Ответы и объяснения 1
Знаете ответ? Поделитесь им!
Есть сомнения?
Не нашли подходящего ответа на вопрос или ответ отсутствует? Воспользуйтесь поиском по сайту, чтобы найти все ответы на похожие вопросы в разделе Геометрия.
Трудности с домашними заданиями? Не стесняйтесь попросить о помощи - смело задавайте вопросы!
Геометрия — раздел математики, изучающий пространственные структуры и отношения, а также их обобщения.