Вопрос по геометрии:
Помогите плиз !
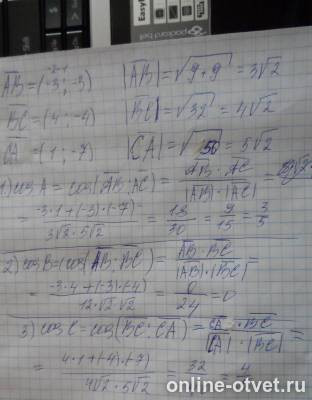
Найти косинусы углов треугольника ABC , если A(1;7) , В(-2;4) , С(2;0)
- 04.02.2017 10:28
- Геометрия
- remove_red_eye 9153
- thumb_up 33
Ответы и объяснения 1
Знаете ответ? Поделитесь им!
Есть сомнения?
Не нашли подходящего ответа на вопрос или ответ отсутствует? Воспользуйтесь поиском по сайту, чтобы найти все ответы на похожие вопросы в разделе Геометрия.
Трудности с домашними заданиями? Не стесняйтесь попросить о помощи - смело задавайте вопросы!
Геометрия — раздел математики, изучающий пространственные структуры и отношения, а также их обобщения.