Вопрос по геометрии:
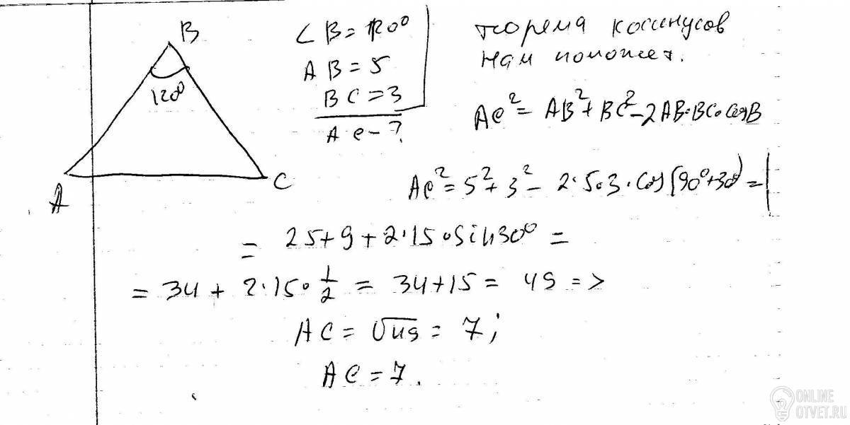
Найдите сторону треугольника, лежащую против угла в 120 градусов, если две другие стороны равны 5 и 3
- 14.04.2016 13:33
- Геометрия
- remove_red_eye 1294
- thumb_up 20
Ответы и объяснения 1
Знаете ответ? Поделитесь им!
Есть сомнения?
Не нашли подходящего ответа на вопрос или ответ отсутствует? Воспользуйтесь поиском по сайту, чтобы найти все ответы на похожие вопросы в разделе Геометрия.
Трудности с домашними заданиями? Не стесняйтесь попросить о помощи - смело задавайте вопросы!
Геометрия — раздел математики, изучающий пространственные структуры и отношения, а также их обобщения.