Вопрос по геометрии:
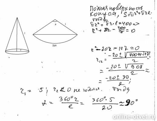
образующая конуса равна 20 см площадь полной поверхности 400 см найдите угол развертки конуса
- 16.09.2017 17:24
- Геометрия
- remove_red_eye 4763
- thumb_up 20
Ответы и объяснения 1
Знаете ответ? Поделитесь им!
Есть сомнения?
Не нашли подходящего ответа на вопрос или ответ отсутствует? Воспользуйтесь поиском по сайту, чтобы найти все ответы на похожие вопросы в разделе Геометрия.
Трудности с домашними заданиями? Не стесняйтесь попросить о помощи - смело задавайте вопросы!
Геометрия — раздел математики, изучающий пространственные структуры и отношения, а также их обобщения.