Вопрос по геометрии:
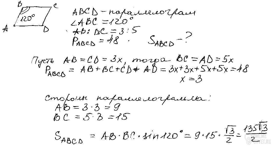
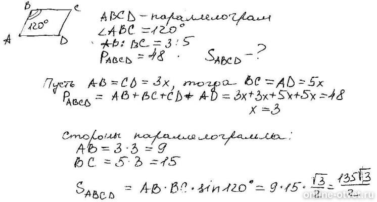
Стороны параллелограмма относятся как 3:5. Найдите площадь параллелограмма, если его периметр равен 48, а один из углов раввен 120 гр.
- 05.04.2017 09:21
- Геометрия
- remove_red_eye 2419
- thumb_up 48
Ответы и объяснения 1
Знаете ответ? Поделитесь им!
Есть сомнения?
Не нашли подходящего ответа на вопрос или ответ отсутствует? Воспользуйтесь поиском по сайту, чтобы найти все ответы на похожие вопросы в разделе Геометрия.
Трудности с домашними заданиями? Не стесняйтесь попросить о помощи - смело задавайте вопросы!
Геометрия — раздел математики, изучающий пространственные структуры и отношения, а также их обобщения.