Вопрос по геометрии:
№1 Диагонали параллелограмма пересекаются в точке О АС=20см ВД=6 см АВ=5см Найти периметр треугольника АОВ
№2 В ромбе АВСД угол А=140 градусов Определите углы треугольника АОВ
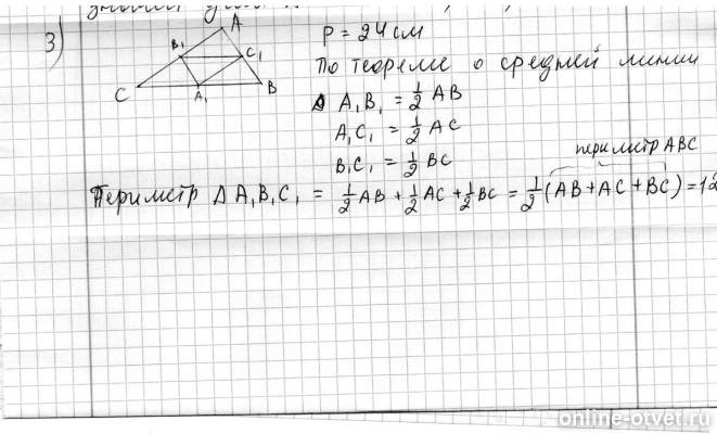
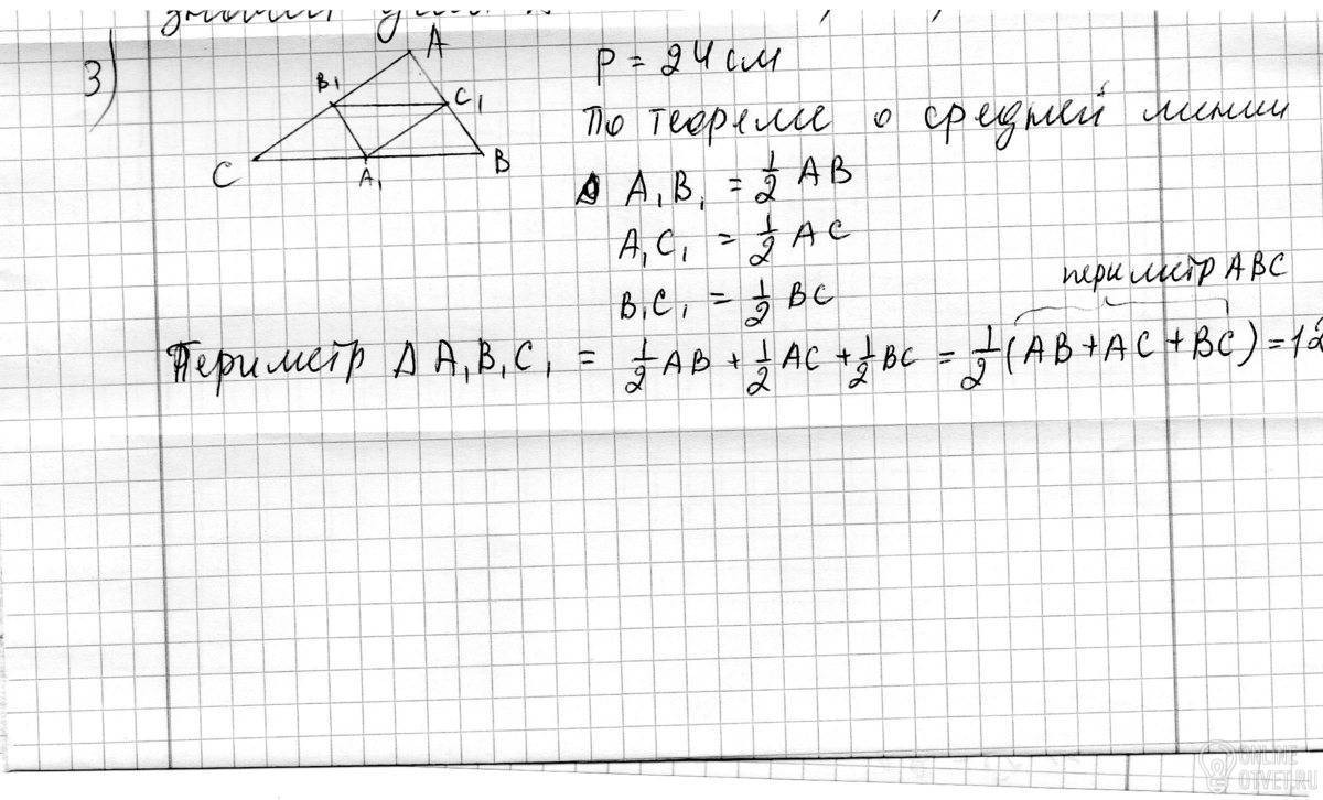
№3 Периметр треугольника АВС=24см Найти периметр треугольника стороны которого являются средними линиями треугольника АВС
- 25.06.2017 02:11
- Геометрия
- remove_red_eye 9075
- thumb_up 42
Ответы и объяснения 1
Знаете ответ? Поделитесь им!
Есть сомнения?
Не нашли подходящего ответа на вопрос или ответ отсутствует? Воспользуйтесь поиском по сайту, чтобы найти все ответы на похожие вопросы в разделе Геометрия.
Трудности с домашними заданиями? Не стесняйтесь попросить о помощи - смело задавайте вопросы!
Геометрия — раздел математики, изучающий пространственные структуры и отношения, а также их обобщения.