Вопрос по геометрии:
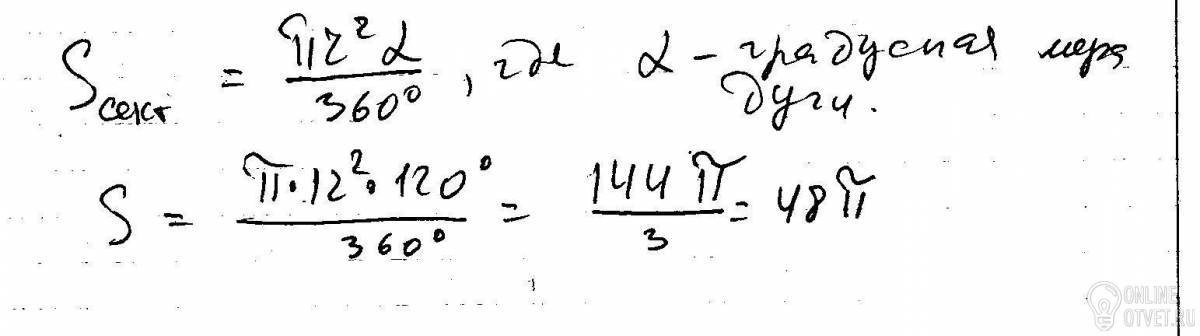
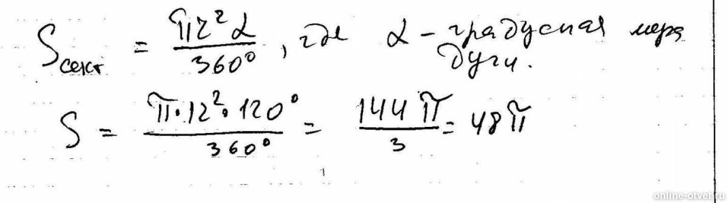
Радиус круга равен 12 дм, а градусная мера дуги равна 120 градусов . Найдите площадь ограниченного этой дугой сектора.
- 25.03.2018 23:44
- Геометрия
- remove_red_eye 3219
- thumb_up 15
Ответы и объяснения 1
Знаете ответ? Поделитесь им!
Есть сомнения?
Не нашли подходящего ответа на вопрос или ответ отсутствует? Воспользуйтесь поиском по сайту, чтобы найти все ответы на похожие вопросы в разделе Геометрия.
Трудности с домашними заданиями? Не стесняйтесь попросить о помощи - смело задавайте вопросы!
Геометрия — раздел математики, изучающий пространственные структуры и отношения, а также их обобщения.