Вопрос по физике:
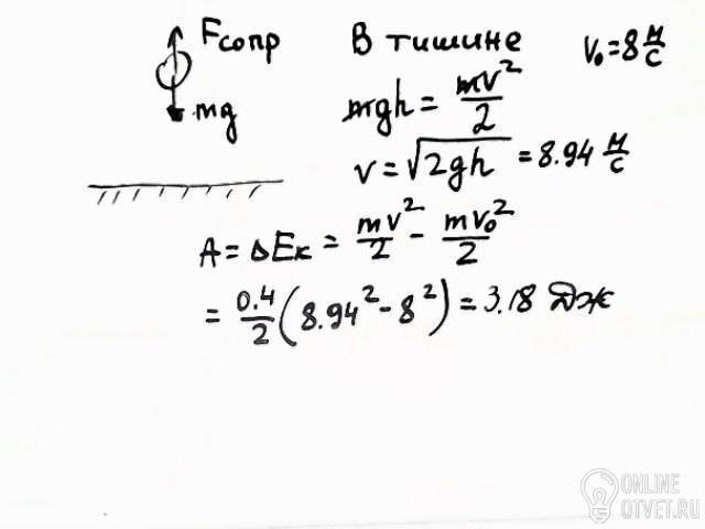
СРОЧНО ФИЗИКА!!!Мяч массой 400 г находится на высоте 4 м в тишине. Скорость шара во время столкновения с Землей составила 8 м / с. Какая Работа сопративления когда мяч падал?
- 12.05.2018 23:57
- Физика
- remove_red_eye 7430
- thumb_up 27
Ответы и объяснения 1
Знаете ответ? Поделитесь им!
Есть сомнения?
Не нашли подходящего ответа на вопрос или ответ отсутствует? Воспользуйтесь поиском по сайту, чтобы найти все ответы на похожие вопросы в разделе Физика.
Трудности с домашними заданиями? Не стесняйтесь попросить о помощи - смело задавайте вопросы!
Физика — область естествознания: естественная наука о простейших и вместе с тем наиболее общих законах природы, о материи, её структуре и движении.