Пожаловаться
- 08.06.2017 17:28
- Физика
- remove_red_eye 9655
- thumb_up 8
Ответы и объяснения 1
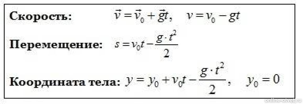
Если тело свободно падает с некоторой высоты h, измерьте ее при помощи дальномера или любого другого приспособления. Рассчитайте скорость падения тела v, найдя корень квадратный из произведения ускорения свободного падения на высоту и число 2, v=√(2∙g∙h). Если перед началом отсчета времени тело уже имело скорость v0, то к получившемуся результату прибавьте ее значение v=√(2∙g∙h)+v0. 2 Пример. Тело свободно падает с высоты 4 м при нулевой начальной скорости. Какова будет его скорость при достижении земной поверхности? Рассчитайте скорость падения тела по формуле, учитывая, что v0=0. Произведите подстановку v=√(2∙9,81∙4)≈8,86 м/с.
Пожаловаться
- 09.06.2017 19:16
- thumb_up 18
Знаете ответ? Поделитесь им!
Есть сомнения?
Не нашли подходящего ответа на вопрос или ответ отсутствует? Воспользуйтесь поиском по сайту, чтобы найти все ответы на похожие вопросы в разделе Физика.
Трудности с домашними заданиями? Не стесняйтесь попросить о помощи - смело задавайте вопросы!
Физика — область естествознания: естественная наука о простейших и вместе с тем наиболее общих законах природы, о материи, её структуре и движении.
Новые вопросы
Интересные вопросы