Вопрос по физике:
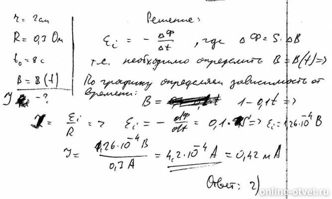
Проводящее кольцо радиусом r=2 см и изготовленное из проводника сопротивлением R = 0,30 Ом, помещено в однородное магнитное поле, линии индукции которого перпендикулярны плоскости кольца. Зависимость модуля индукции магнитного поля от времени приведена на рисунке. Найдите силу тока в кольце в момент времени t0=8с.
- 02.09.2017 14:51
- Физика
- remove_red_eye 15617
- thumb_up 49
Ответы и объяснения 1
Знаете ответ? Поделитесь им!
Есть сомнения?
Не нашли подходящего ответа на вопрос или ответ отсутствует? Воспользуйтесь поиском по сайту, чтобы найти все ответы на похожие вопросы в разделе Физика.
Трудности с домашними заданиями? Не стесняйтесь попросить о помощи - смело задавайте вопросы!
Физика — область естествознания: естественная наука о простейших и вместе с тем наиболее общих законах природы, о материи, её структуре и движении.