Вопрос по физике:
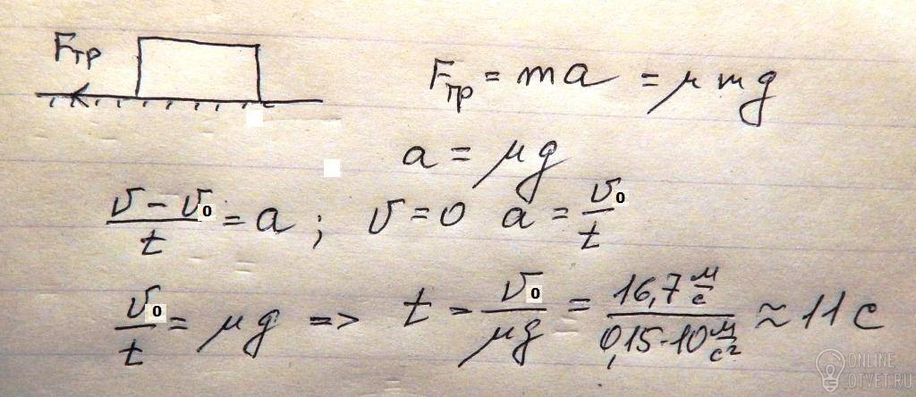
Поезд, подъезжая к станции со скоростью V=60 км/ч, начинает тормозить. За какое минимальное время можно остановить поезд, чтобы лежащие на полках чемоданы не сдвинулись с места? Считать, что при торможении поезд движется с постоянным ускорением, а коэффициент трения р чемодана о полку равен 0,15.
Помогите, пожалуйста) Если можно, то с дано и формулами)
- 20.10.2017 06:06
- Физика
- remove_red_eye 9840
- thumb_up 38
Ответы и объяснения 1
Знаете ответ? Поделитесь им!
Есть сомнения?
Не нашли подходящего ответа на вопрос или ответ отсутствует? Воспользуйтесь поиском по сайту, чтобы найти все ответы на похожие вопросы в разделе Физика.
Трудности с домашними заданиями? Не стесняйтесь попросить о помощи - смело задавайте вопросы!
Физика — область естествознания: естественная наука о простейших и вместе с тем наиболее общих законах природы, о материи, её структуре и движении.