Вопрос по физике:
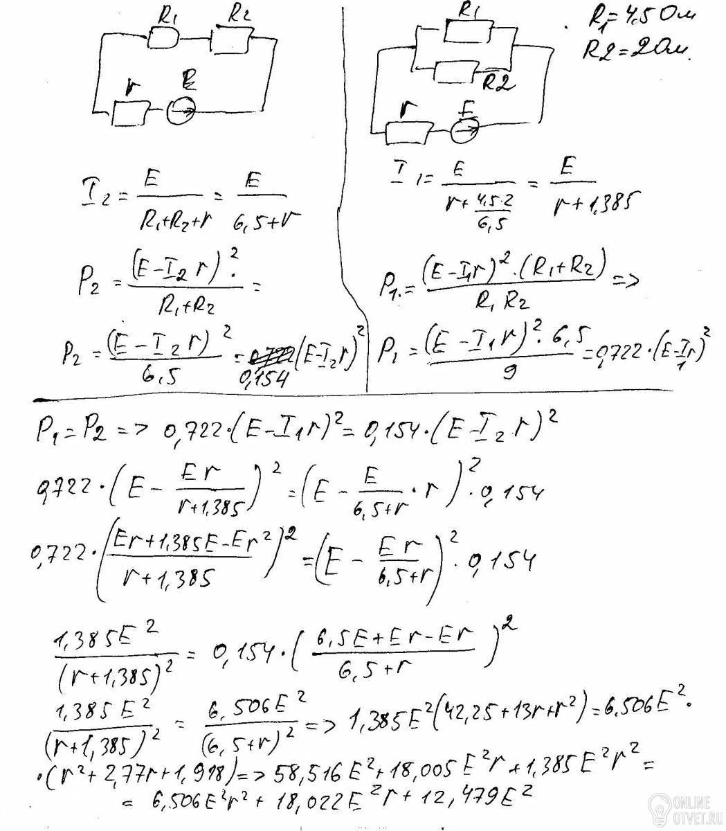
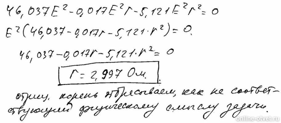
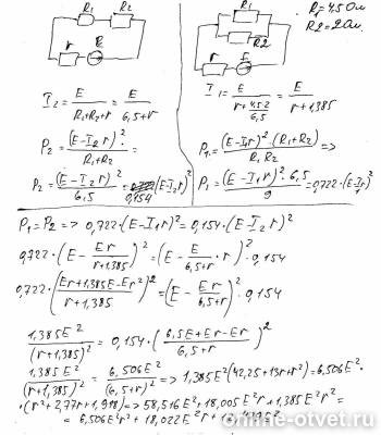
СРОЧНО! ПРОШУ.Два резистора сопративлением 4,5 Ом и 2 Ом подключают к источнику тока сначала параллельно, а потом последовательно. В обоих случаях во внешней цепи выделяется одинаковая мощность. найти внутреннее сопративление источника
- 20.07.2017 18:57
- Физика
- remove_red_eye 8764
- thumb_up 44
Ответы и объяснения 1
Знаете ответ? Поделитесь им!
Есть сомнения?
Не нашли подходящего ответа на вопрос или ответ отсутствует? Воспользуйтесь поиском по сайту, чтобы найти все ответы на похожие вопросы в разделе Физика.
Трудности с домашними заданиями? Не стесняйтесь попросить о помощи - смело задавайте вопросы!
Физика — область естествознания: естественная наука о простейших и вместе с тем наиболее общих законах природы, о материи, её структуре и движении.