Вопрос по физике:
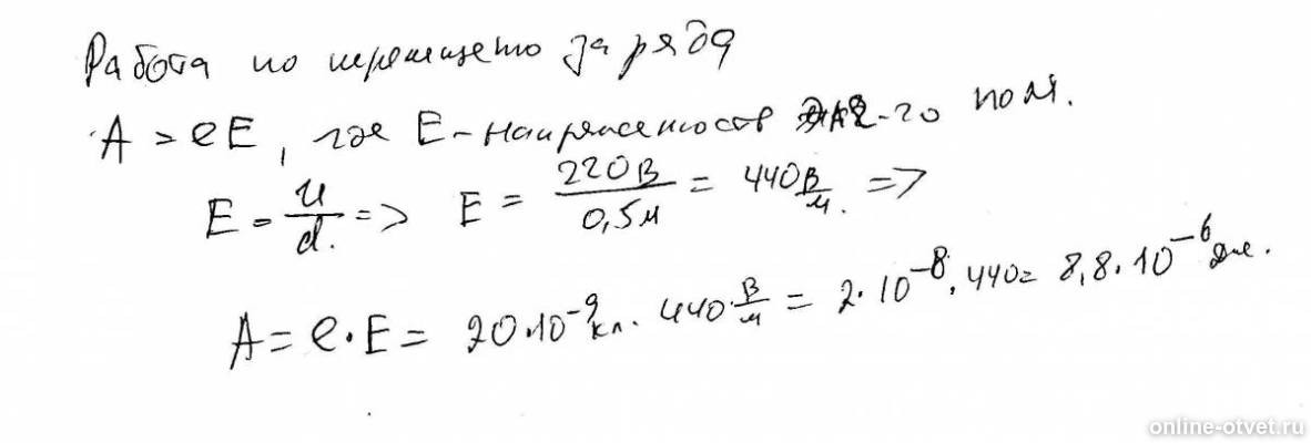
В однородном электрическом поле переместили заряд 20 мккл в направлении силовой линии на расстояниие 50см разность потенциалов между начальной и конечной точками равна 220 в.найти напряженность поля и работу электрического поля по перемещению заряда
- 09.04.2018 03:15
- Физика
- remove_red_eye 7438
- thumb_up 8
Ответы и объяснения 1
Знаете ответ? Поделитесь им!
Есть сомнения?
Не нашли подходящего ответа на вопрос или ответ отсутствует? Воспользуйтесь поиском по сайту, чтобы найти все ответы на похожие вопросы в разделе Физика.
Трудности с домашними заданиями? Не стесняйтесь попросить о помощи - смело задавайте вопросы!
Физика — область естествознания: естественная наука о простейших и вместе с тем наиболее общих законах природы, о материи, её структуре и движении.