Вопрос по физике:
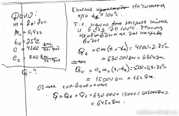
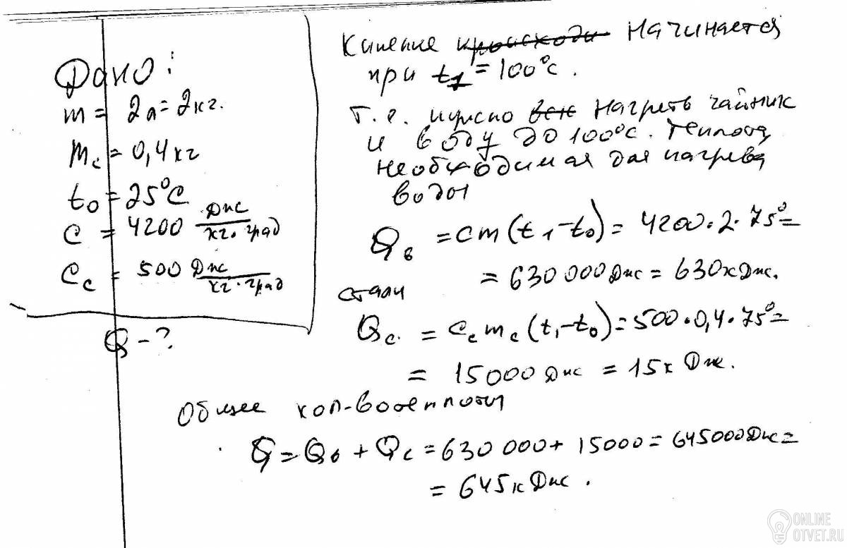
Сколько тепла потребуется для того,чтоьы вскипятить 2 литра воды ,налитой в электрический стальной чайник массой 400 г?Начальная температура воды и чайника 25°С.Удельная теплоемкость стали 500Дж/(кг•град).
- 17.08.2017 13:08
- Физика
- remove_red_eye 15225
- thumb_up 32
Ответы и объяснения 1
Знаете ответ? Поделитесь им!
Есть сомнения?
Не нашли подходящего ответа на вопрос или ответ отсутствует? Воспользуйтесь поиском по сайту, чтобы найти все ответы на похожие вопросы в разделе Физика.
Трудности с домашними заданиями? Не стесняйтесь попросить о помощи - смело задавайте вопросы!
Физика — область естествознания: естественная наука о простейших и вместе с тем наиболее общих законах природы, о материи, её структуре и движении.