Вопрос по физике:
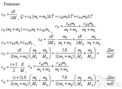
Найти молярные теплоемкости Сv и Ср смеси кислорода массой m1= 2,5 г и азота m2 = 3 г.
- 14.09.2017 18:38
- Физика
- remove_red_eye 11040
- thumb_up 43
Ответы и объяснения 1
Знаете ответ? Поделитесь им!
Есть сомнения?
Не нашли подходящего ответа на вопрос или ответ отсутствует? Воспользуйтесь поиском по сайту, чтобы найти все ответы на похожие вопросы в разделе Физика.
Трудности с домашними заданиями? Не стесняйтесь попросить о помощи - смело задавайте вопросы!
Физика — область естествознания: естественная наука о простейших и вместе с тем наиболее общих законах природы, о материи, её структуре и движении.