Вопрос по физике:
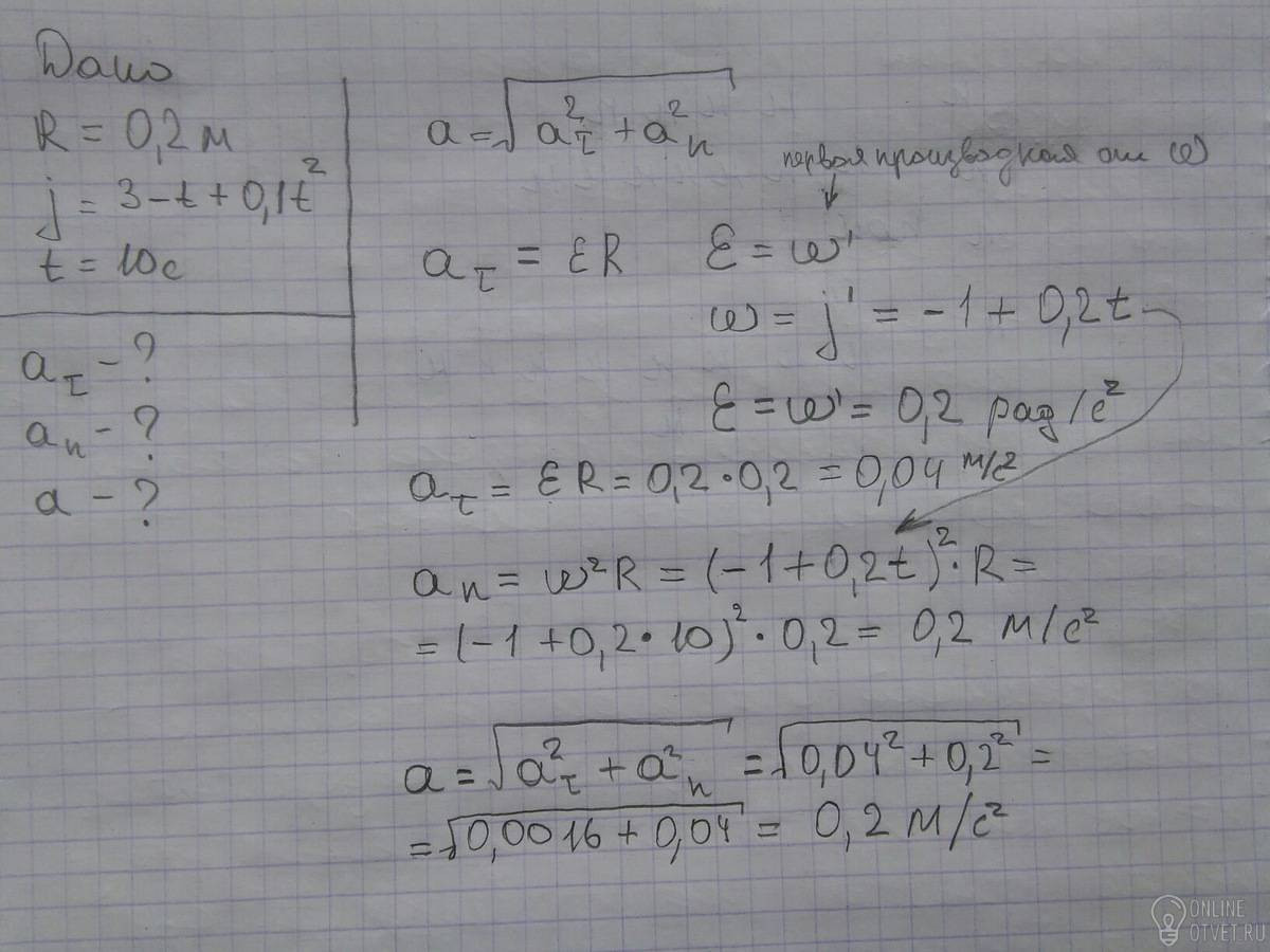
Диск радиусом 20см вращается согласно уравнению j = 3-t+0,1t2 Определите тангенсальное, нормальное и полное ускорения точек на окружности диска для момент времени 10с.
- 14.06.2018 22:23
- Физика
- remove_red_eye 10527
- thumb_up 14
Ответы и объяснения 1
Знаете ответ? Поделитесь им!
Есть сомнения?
Не нашли подходящего ответа на вопрос или ответ отсутствует? Воспользуйтесь поиском по сайту, чтобы найти все ответы на похожие вопросы в разделе Физика.
Трудности с домашними заданиями? Не стесняйтесь попросить о помощи - смело задавайте вопросы!
Физика — область естествознания: естественная наука о простейших и вместе с тем наиболее общих законах природы, о материи, её структуре и движении.