Вопрос по физике:
Помогите!!!
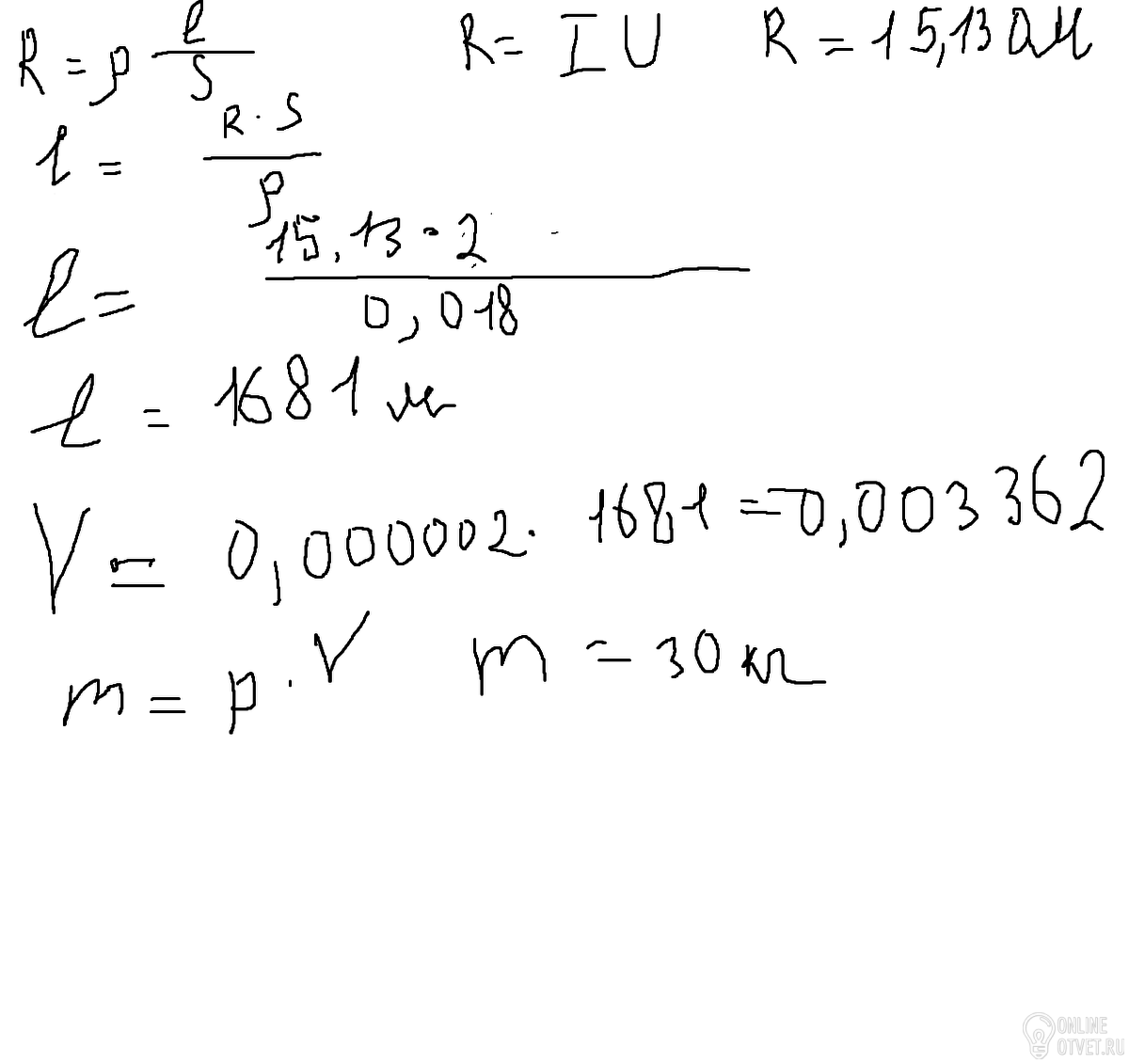
Определить массу провода сечением 2мм2, если провод медный и при напряжении 17 В сила тока в нем равна 0,89 А?
- 04.10.2017 10:30
- Физика
- remove_red_eye 19516
- thumb_up 42
Ответы и объяснения 1
Знаете ответ? Поделитесь им!
Есть сомнения?
Не нашли подходящего ответа на вопрос или ответ отсутствует? Воспользуйтесь поиском по сайту, чтобы найти все ответы на похожие вопросы в разделе Физика.
Трудности с домашними заданиями? Не стесняйтесь попросить о помощи - смело задавайте вопросы!
Физика — область естествознания: естественная наука о простейших и вместе с тем наиболее общих законах природы, о материи, её структуре и движении.