Вопрос по физике:
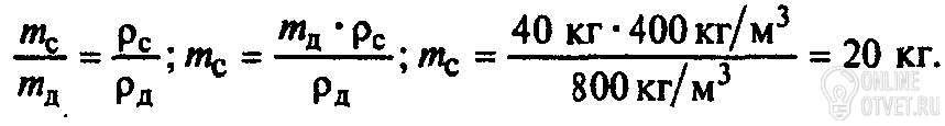
Какова масса соснового бруска,имеющего такие же размеры ,как и дубовый массой40кг?
- 05.12.2017 00:19
- Физика
- remove_red_eye 19544
- thumb_up 47
Ответы и объяснения 1
Знаете ответ? Поделитесь им!
Есть сомнения?
Не нашли подходящего ответа на вопрос или ответ отсутствует? Воспользуйтесь поиском по сайту, чтобы найти все ответы на похожие вопросы в разделе Физика.
Трудности с домашними заданиями? Не стесняйтесь попросить о помощи - смело задавайте вопросы!
Физика — область естествознания: естественная наука о простейших и вместе с тем наиболее общих законах природы, о материи, её структуре и движении.