Вопрос по физике:
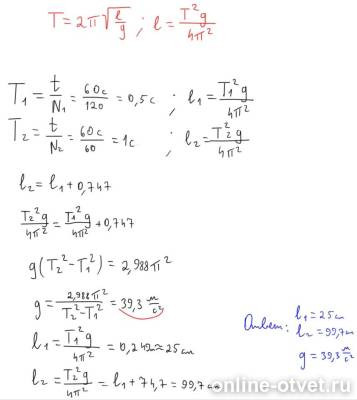
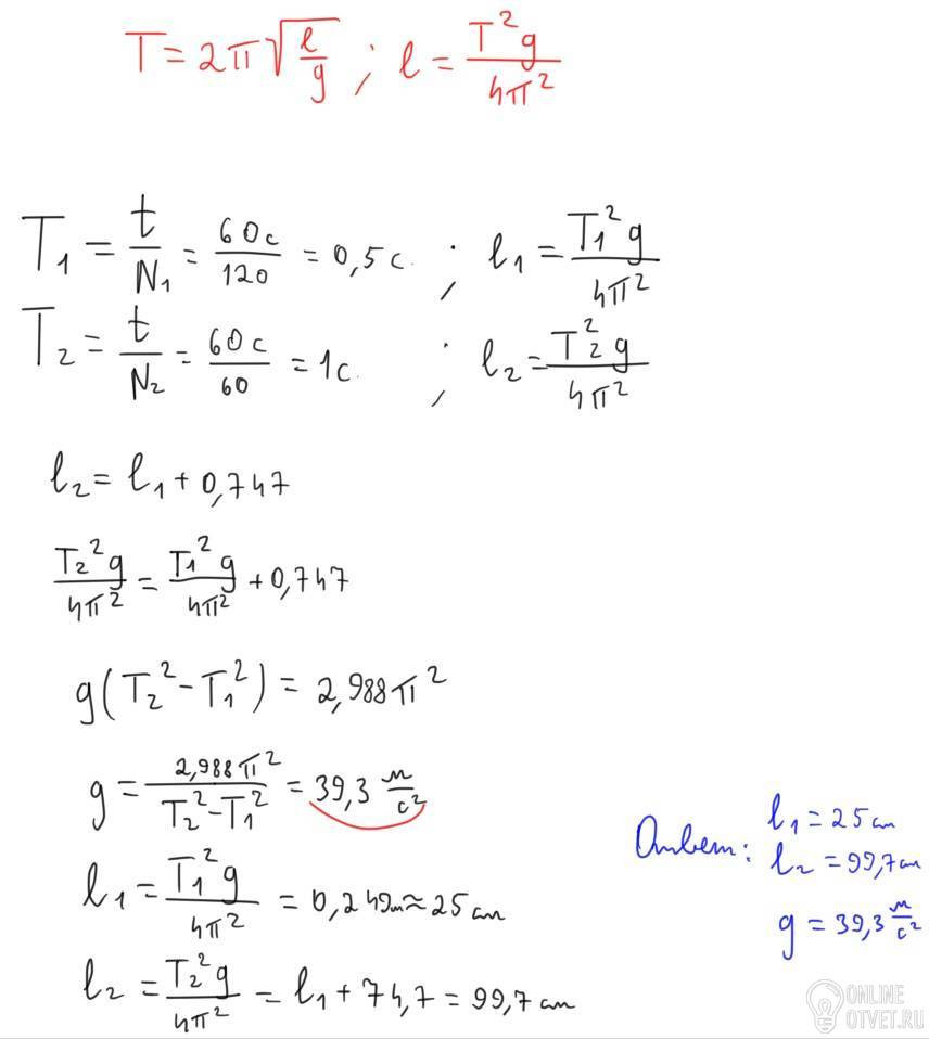
За 2 мин маятник совершил 120 колебаний . Когда длину маятника увеличили на 74.7 ,то он за то же время совершил 60 колебаний . Найдите начальную и конечную длины маятника и ускорение свободного падения в этом месте.
- 22.03.2017 21:17
- Физика
- remove_red_eye 8211
- thumb_up 29
Ответы и объяснения 1
Знаете ответ? Поделитесь им!
Есть сомнения?
Не нашли подходящего ответа на вопрос или ответ отсутствует? Воспользуйтесь поиском по сайту, чтобы найти все ответы на похожие вопросы в разделе Физика.
Трудности с домашними заданиями? Не стесняйтесь попросить о помощи - смело задавайте вопросы!
Физика — область естествознания: естественная наука о простейших и вместе с тем наиболее общих законах природы, о материи, её структуре и движении.