Вопрос по физике:
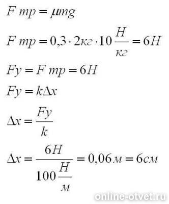
СПАСИТЕ!!!!!УМИРАЮ, ПЛИЗ ПОМОГИТЕ!! На пружині жорсткістю 100 Н/м тягнуть рівномірно прямолінійно брусок масою 2 кг. Наскільки довшою стане пружина, якщо коефіцієнт тертя /u зі столом дорівнює 0,3
- 14.09.2017 18:36
- Физика
- remove_red_eye 13122
- thumb_up 36
Ответы и объяснения 1
Знаете ответ? Поделитесь им!
Есть сомнения?
Не нашли подходящего ответа на вопрос или ответ отсутствует? Воспользуйтесь поиском по сайту, чтобы найти все ответы на похожие вопросы в разделе Физика.
Трудности с домашними заданиями? Не стесняйтесь попросить о помощи - смело задавайте вопросы!
Физика — область естествознания: естественная наука о простейших и вместе с тем наиболее общих законах природы, о материи, её структуре и движении.