Пожаловаться
- 25.09.2018 00:18
- Алгебра
- remove_red_eye 14906
- thumb_up 18
Ответы и объяснения 1
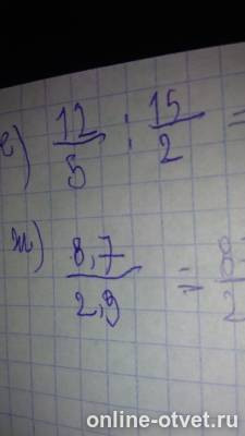
Е) 12/5 : 15/2 = 12/5 • 2/15 ( 15 и 5 сокращаются на 5. 12 и 2 сокращаются на 2 ) = 24.
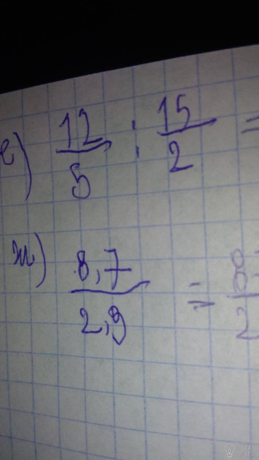
ж) 8,7 : 2,9 = 87/10 : 29/10 = 87/10 • 10/29 ( 10 и 10 сокращаются ) = 87/29= 3.
Удачи)))
ж) 8,7 : 2,9 = 87/10 : 29/10 = 87/10 • 10/29 ( 10 и 10 сокращаются ) = 87/29= 3.
Удачи)))
Пожаловаться
- 25.09.2018 16:58
- thumb_up 8
Знаете ответ? Поделитесь им!
Есть сомнения?
Не нашли подходящего ответа на вопрос или ответ отсутствует? Воспользуйтесь поиском по сайту, чтобы найти все ответы на похожие вопросы в разделе Алгебра.
Трудности с домашними заданиями? Не стесняйтесь попросить о помощи - смело задавайте вопросы!
Алгебра — раздел математики, который можно нестрого охарактеризовать как обобщение и расширение арифметики.
Новые вопросы
Интересные вопросы