Пожаловаться
- 14.05.2018 23:42
- Алгебра
- remove_red_eye 13962
- thumb_up 21
Ответы и объяснения 1
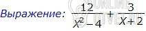
12/ (x-2)*(x+2)+3 / (x+2)=12+3x-6 / (x-2)*(x+2)=3x+6 / (x-2)*(x+2)=3*(x+2) / (x-2)*(x+2)=3 / (x-2). подставляем значение: 3 / (2002-2)=3 / 2000. Ответ: 3 / 2000.
Пожаловаться
- 15.05.2018 13:16
- thumb_up 19
Знаете ответ? Поделитесь им!
Есть сомнения?
Не нашли подходящего ответа на вопрос или ответ отсутствует? Воспользуйтесь поиском по сайту, чтобы найти все ответы на похожие вопросы в разделе Алгебра.
Трудности с домашними заданиями? Не стесняйтесь попросить о помощи - смело задавайте вопросы!
Алгебра — раздел математики, который можно нестрого охарактеризовать как обобщение и расширение арифметики.
Новые вопросы
Интересные вопросы