Пожаловаться
- 03.01.2018 20:23
- Алгебра
- remove_red_eye 13898
- thumb_up 28
Ответы и объяснения 1
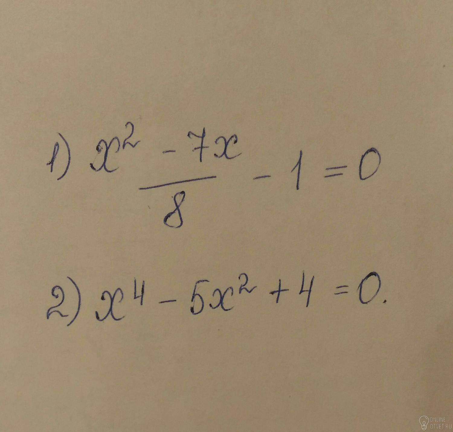
1) домножим обе стороны уравнения на 8, получим:
х² - 7х - 8 = 0
х² + х - 8х - 8 = 0
х(х+1) - 8(х+1) = 0
(х+1)(х-8) = 0
х+1 = 0 или х-8 = 0
х = -1 х = 8
Ответ: х=-1, х=8
2)
х⁴ - 5х² + 4 = 0
х⁴ - х² - 4х² + 4 = 0
х²(х²-1) - 4(х²-1) = 0
(х²-1)(х²-4) = 0
х²-1 = 0 или х²-4 = 0
х² = 1 х² = 4
х = ±1 х = ±2
Ответ: х=-2, х=-1, х=1, х=2
х² - 7х - 8 = 0
х² + х - 8х - 8 = 0
х(х+1) - 8(х+1) = 0
(х+1)(х-8) = 0
х+1 = 0 или х-8 = 0
х = -1 х = 8
Ответ: х=-1, х=8
2)
х⁴ - 5х² + 4 = 0
х⁴ - х² - 4х² + 4 = 0
х²(х²-1) - 4(х²-1) = 0
(х²-1)(х²-4) = 0
х²-1 = 0 или х²-4 = 0
х² = 1 х² = 4
х = ±1 х = ±2
Ответ: х=-2, х=-1, х=1, х=2
Пожаловаться
- 04.01.2018 22:16
- thumb_up 2
Знаете ответ? Поделитесь им!
Есть сомнения?
Не нашли подходящего ответа на вопрос или ответ отсутствует? Воспользуйтесь поиском по сайту, чтобы найти все ответы на похожие вопросы в разделе Алгебра.
Трудности с домашними заданиями? Не стесняйтесь попросить о помощи - смело задавайте вопросы!
Алгебра — раздел математики, который можно нестрого охарактеризовать как обобщение и расширение арифметики.
Новые вопросы
Интересные вопросы