Вопрос по алгебре:
Помогите решить задание надо сравнить
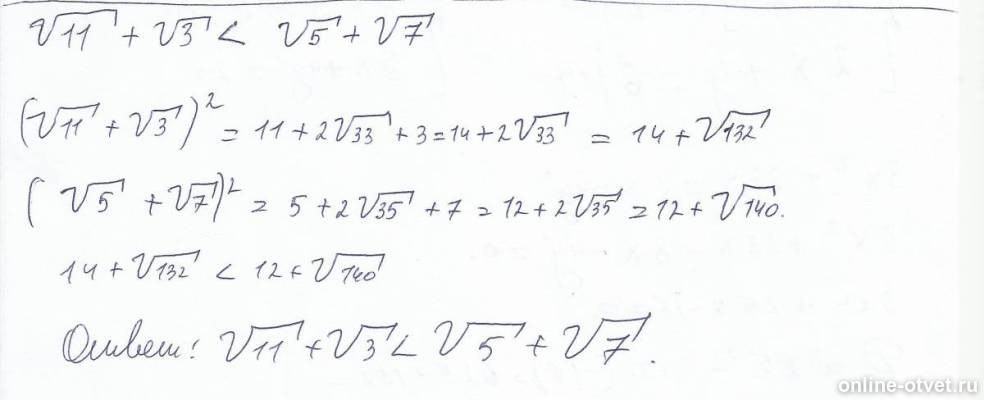
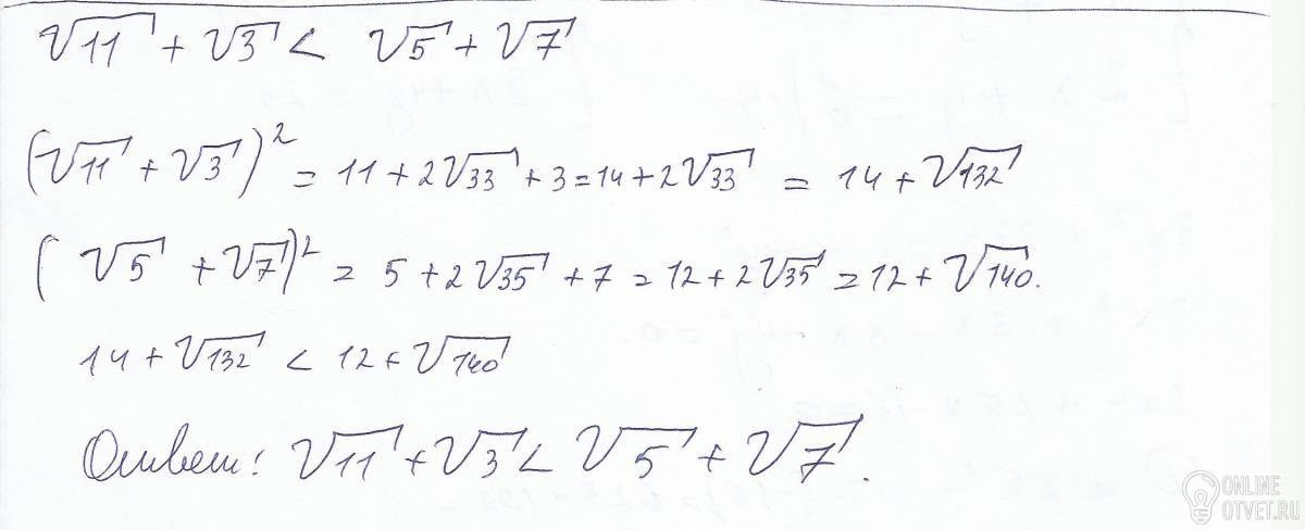
корень 11 +корень 3 и корень 5+корень 7
Пожаловаться
- 22.05.2018 02:06
- Алгебра
- remove_red_eye 18374
- thumb_up 46
Ответы и объяснения 1
Знаете ответ? Поделитесь им!
Есть сомнения?
Не нашли подходящего ответа на вопрос или ответ отсутствует? Воспользуйтесь поиском по сайту, чтобы найти все ответы на похожие вопросы в разделе Алгебра.
Трудности с домашними заданиями? Не стесняйтесь попросить о помощи - смело задавайте вопросы!
Алгебра — раздел математики, который можно нестрого охарактеризовать как обобщение и расширение арифметики.
Новые вопросы
Интересные вопросы