Вопрос по алгебре:
Решите неравенствo методом интервала :
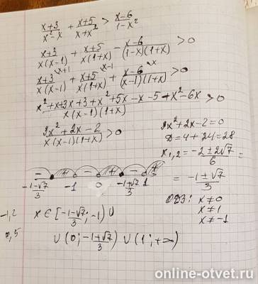
х+3 x+5 x-6
-------- + ---------- > --------
х^2-x x+x^2 1-x^2
- 02.05.2018 15:07
- Алгебра
- remove_red_eye 14432
- thumb_up 41
Ответы и объяснения 1
Знаете ответ? Поделитесь им!
Есть сомнения?
Не нашли подходящего ответа на вопрос или ответ отсутствует? Воспользуйтесь поиском по сайту, чтобы найти все ответы на похожие вопросы в разделе Алгебра.
Трудности с домашними заданиями? Не стесняйтесь попросить о помощи - смело задавайте вопросы!
Алгебра — раздел математики, который можно нестрого охарактеризовать как обобщение и расширение арифметики.