Пожаловаться
- 07.08.2018 22:32
- Алгебра
- remove_red_eye 8133
- thumb_up 33
Ответы и объяснения 1
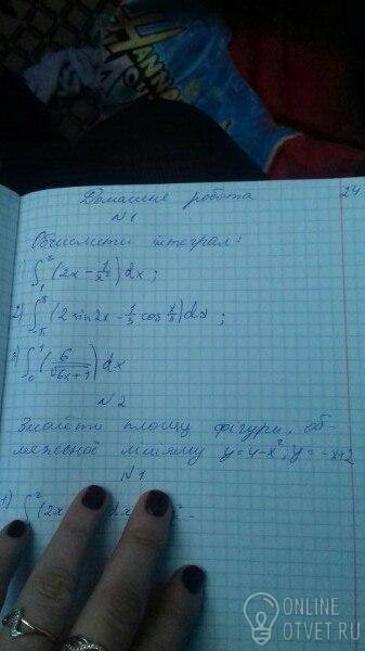
1)

2)

3)

2.
Графики функций пересекаются в точках (-1;3) (2;0). На сегменте [-1;2] данная линейная функция не превосходит данной функции второй степени. Поэтому площадь фигуры, ограниченной графиками данных двух функций равна:

2)
3)
2.
Графики функций пересекаются в точках (-1;3) (2;0). На сегменте [-1;2] данная линейная функция не превосходит данной функции второй степени. Поэтому площадь фигуры, ограниченной графиками данных двух функций равна:
Пожаловаться
- 08.08.2018 07:36
- thumb_up 18
Знаете ответ? Поделитесь им!
Есть сомнения?
Не нашли подходящего ответа на вопрос или ответ отсутствует? Воспользуйтесь поиском по сайту, чтобы найти все ответы на похожие вопросы в разделе Алгебра.
Трудности с домашними заданиями? Не стесняйтесь попросить о помощи - смело задавайте вопросы!
Алгебра — раздел математики, который можно нестрого охарактеризовать как обобщение и расширение арифметики.
Новые вопросы
Интересные вопросы