- 03.06.2018 11:11
- Алгебра
- remove_red_eye 6485
- thumb_up 42
Ответы и объяснения 1
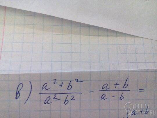
Первая дробь
(а²+b²)/(a²-b²)=(a+b)(a+b) /(a-b)(a+b)=(a+b)/(a-b)
вторая дробь равна преобразованной первой дроби
(a+b)/(a-b) - (a+b)/(a-b)=0
- 04.06.2018 10:53
- thumb_up 35
Знаете ответ? Поделитесь им!
Есть сомнения?
Не нашли подходящего ответа на вопрос или ответ отсутствует? Воспользуйтесь поиском по сайту, чтобы найти все ответы на похожие вопросы в разделе Алгебра.
Трудности с домашними заданиями? Не стесняйтесь попросить о помощи - смело задавайте вопросы!
Алгебра — раздел математики, который можно нестрого охарактеризовать как обобщение и расширение арифметики.