Вопрос по алгебре:
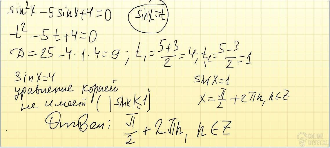
Решите уравнение sin2 x– 5sinx+4=0*
Дроби запишите в виде x/y, где х – числитель, у – знаменатель.
- 22.06.2018 20:44
- Алгебра
- remove_red_eye 14472
- thumb_up 7
Ответы и объяснения 1
Знаете ответ? Поделитесь им!
Есть сомнения?
Не нашли подходящего ответа на вопрос или ответ отсутствует? Воспользуйтесь поиском по сайту, чтобы найти все ответы на похожие вопросы в разделе Алгебра.
Трудности с домашними заданиями? Не стесняйтесь попросить о помощи - смело задавайте вопросы!
Алгебра — раздел математики, который можно нестрого охарактеризовать как обобщение и расширение арифметики.