- 01.06.2018 10:41
- Алгебра
- remove_red_eye 10005
- thumb_up 22
Ответы и объяснения 1
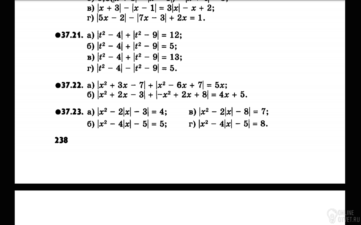
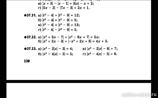
1
x²-2|x|-8=-7
a)x<0
x²+2x-8+7=0
x²+2x-1=0
D=4+4=8
x1=(-2-2√2)/2=-1-√2
x2=-1+√2 не удов усл
б)x≥0
x²-2x-8=-7
x²-2x-1=0
D=4+4=8
x1=1-√2 не удов усл
х2=1+√2
2
x²-2|x|-8=7
a)x<0
x²+2x-15=0
x1+x2=-2 U x1*x2=-15
x1=-5
x2=3 не удов усл
б)x≥0
x²-2x-15=0
x1+x2=2 U x1*x2=-15
x1=-3 не удов усл
х2=5
Ответ x={-1-√2;1+√2;-5;5}
- 02.06.2018 23:51
- thumb_up 44
Знаете ответ? Поделитесь им!
Есть сомнения?
Не нашли подходящего ответа на вопрос или ответ отсутствует? Воспользуйтесь поиском по сайту, чтобы найти все ответы на похожие вопросы в разделе Алгебра.
Трудности с домашними заданиями? Не стесняйтесь попросить о помощи - смело задавайте вопросы!
Алгебра — раздел математики, который можно нестрого охарактеризовать как обобщение и расширение арифметики.