Вопрос по алгебре:
Сделайте пожалуйста что можете!!!
а)cosx/3 =-1
б)sin(п-а) / cos(3п/2 +а)
в)3^2x =9^x-5
г)5^x+3.4 меньше или равно 1/25
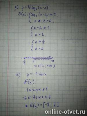
д)у=6корней из (log_3 x-2)
e) найти мн.зн.функ у=-7*sinx
- 25.12.2017 02:44
- Алгебра
- remove_red_eye 2753
- thumb_up 25
Ответы и объяснения 1
Знаете ответ? Поделитесь им!
Есть сомнения?
Не нашли подходящего ответа на вопрос или ответ отсутствует? Воспользуйтесь поиском по сайту, чтобы найти все ответы на похожие вопросы в разделе Алгебра.
Трудности с домашними заданиями? Не стесняйтесь попросить о помощи - смело задавайте вопросы!
Алгебра — раздел математики, который можно нестрого охарактеризовать как обобщение и расширение арифметики.