- 06.02.2018 00:51
- Алгебра
- remove_red_eye 11768
- thumb_up 47
Ответы и объяснения 1
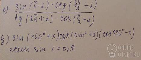
Г) sin(π-α) * ctg (3π/2 +α)= sinα*(-tgα) = -1
tg(2π+α)*cos(π/2-α) tgα * sinα
sin(π-α)=-sin(-α)=sinα
cos(π/2-α)=-sin(-α)=sinα
tg(2π+α)=sin(2π+α)= sinα =tgα
cos(2π+α) cosα
ctg(3π/2+α)=ctg(π+π/2+α)=ctg(π/2+α)=cos(π/2+α)=-sinα =-tgα
sin(π/2+α) cosα
д) sin(450°+x) cos(540°+x) cos(990°-x)=cosx * (-cosx)*(-sinx)=cos²x sinx=
=0.19 * 0.9=0.171
sin(450°+x)=sin(360°+90°+x)=sin(90°+x)=cosx
cos(540°+x)=cos(360°+180°+x)=cos(180°+x)=-cosx
cos(990°-x)=cos(1080°-90°-x)=cos(6*360°+(-90°-x))=cos(-90°-x)=
cos(-(90°+x))=cos(90°+x)=-sinx.
sinx=0.9
cos²x=1-sin²x=1-(0.9)²=1-0.81=0.19
- 07.02.2018 14:27
- thumb_up 28
Знаете ответ? Поделитесь им!
Есть сомнения?
Не нашли подходящего ответа на вопрос или ответ отсутствует? Воспользуйтесь поиском по сайту, чтобы найти все ответы на похожие вопросы в разделе Алгебра.
Трудности с домашними заданиями? Не стесняйтесь попросить о помощи - смело задавайте вопросы!
Алгебра — раздел математики, который можно нестрого охарактеризовать как обобщение и расширение арифметики.